Крупнейшая бесплатная информационно-справочная система онлайн доступа к полному собранию технических нормативно-правовых актов РФ. Огромная база технических нормативов (более 150 тысяч документов) и полное собрание национальных стандартов, аутентичное официальной базе Госстандарта. GOSTRF.com - это более 1 Терабайта бесплатной технической информации для всех пользователей интернета. Все электронные копии представленных здесь документов могут распространяться без каких-либо ограничений. Поощряется распространение информации с этого сайта на любых других ресурсах. Каждый человек имеет право на неограниченный доступ к этим документам! Каждый человек имеет право на знание требований, изложенных в данных нормативно-правовых актах!

  


 

ГОСТ 18719-73

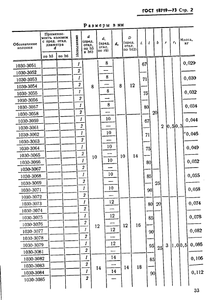
Колонки ступенчатые для сменных штампов листовой штамповки. Конструкция и размеры

Обозначение:ГОСТ 18719-73
Текущий статус документа: действующий
Название документа рус.:Колонки ступенчатые для сменных штампов листовой штамповки. Конструкция и размеры
Название документа англ.:Guide posts with shoulders for changeable sheet stamping dies. Construction and dimensions
Дата актуализации текста:01.12.2013
Дата издания:01.05.1985
Дата введения:30.06.1974
Дата последнего изменения:22.05.2013
Переиздание:переиздание с изм. 1
Взамен в части:МН 1931-61 в части исполнения 2
Область применения:Настоящий стандарт устанавливает конструкцию и размеры колонок ступенчатых для сменных штампов листовой штамповки
Список изменений:№1 от 01.07.1981 (рег. 29.05.1981) «Срок действия продлен»
№2 от 01.05.1984 (рег. 08.12.1983) «Срок действия продлен»
ГОСТ 18719-73ГОСТ 18719-73ГОСТ 18719-73ГОСТ 18719-73ГОСТ 18719-73ГОСТ 18719-73
 




ГОСТЫ, СТРОИТЕЛЬНЫЕ и ТЕХНИЧЕСКИЕ НОРМАТИВЫ.
Некоммерческая онлайн система, содержащая все Российские Госты, национальные Стандарты и нормативы.
В Системе содержится более 150000 файлов нормативно-технической документации, действующей на территории РФ.
Система предназначена для широкого круга инженерно-технических специалистов.

Рейтинг@Mail.ru Яндекс цитирования

Copyright © www.gostrf.com, 2008 - 2026