Крупнейшая бесплатная информационно-справочная система онлайн доступа к полному собранию технических нормативно-правовых актов РФ. Огромная база технических нормативов (более 150 тысяч документов) и полное собрание национальных стандартов, аутентичное официальной базе Госстандарта. GOSTRF.com - это более 1 Терабайта бесплатной технической информации для всех пользователей интернета. Все электронные копии представленных здесь документов могут распространяться без каких-либо ограничений. Поощряется распространение информации с этого сайта на любых других ресурсах. Каждый человек имеет право на неограниченный доступ к этим документам! Каждый человек имеет право на знание требований, изложенных в данных нормативно-правовых актах!

  


 

ГОСТ 12489-71

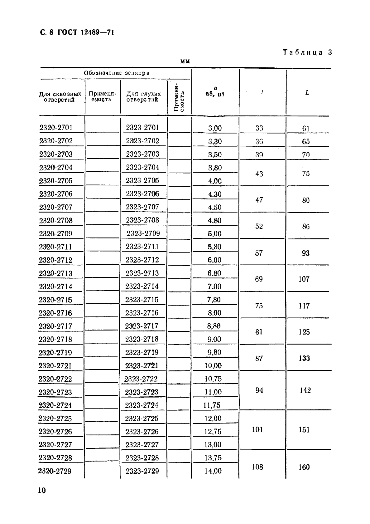
Зенкеры цельные. Конструкция и размеры

Обозначение:ГОСТ 12489-71
Текущий статус документа: действующий
Название документа рус.:Зенкеры цельные. Конструкция и размеры
Название документа англ.:Solid counterbores. Types and basic dimensions
Дата актуализации текста:01.12.2013
Дата издания:01.10.1992
Дата введения:30.06.1972
Дата последнего изменения:22.05.2013
Переиздание:переиздание с изм. 1
Взамен: МН 701-60 МН 702-60 МН 703-60 МН 704-60 МН 705-60 МН 714-60
Область применения:Настоящий стандарт распространяется на цельные зенкеры с цилиндрическим и коническим хвостовиками и насадные зенкеры, предназначенные для обработки отверстий в деталях из чугуна и стали
Список изменений:№1 от 01.07.1973 (рег. 19.06.1973) «Срок действия продлен»
№2 от 01.07.1980 (рег. 04.07.1980) «Срок действия продлен»
№3 от 01.01.1985 (рег. 12.12.1983) «Срок действия продлен»
№4 от 01.05.1992 (рег. 19.11.1991) «Срок действия продлен»
ГОСТ 12489-71ГОСТ 12489-71ГОСТ 12489-71ГОСТ 12489-71ГОСТ 12489-71ГОСТ 12489-71ГОСТ 12489-71ГОСТ 12489-71ГОСТ 12489-71ГОСТ 12489-71ГОСТ 12489-71ГОСТ 12489-71ГОСТ 12489-71ГОСТ 12489-71ГОСТ 12489-71ГОСТ 12489-71ГОСТ 12489-71ГОСТ 12489-71ГОСТ 12489-71ГОСТ 12489-71ГОСТ 12489-71ГОСТ 12489-71ГОСТ 12489-71ГОСТ 12489-71ГОСТ 12489-71
 




ГОСТЫ, СТРОИТЕЛЬНЫЕ и ТЕХНИЧЕСКИЕ НОРМАТИВЫ.
Некоммерческая онлайн система, содержащая все Российские Госты, национальные Стандарты и нормативы.
В Системе содержится более 150000 файлов нормативно-технической документации, действующей на территории РФ.
Система предназначена для широкого круга инженерно-технических специалистов.

Рейтинг@Mail.ru Яндекс цитирования

Copyright © www.gostrf.com, 2008 - 2026