Крупнейшая бесплатная информационно-справочная система онлайн доступа к полному собранию технических нормативно-правовых актов РФ. Огромная база технических нормативов (более 150 тысяч документов) и полное собрание национальных стандартов, аутентичное официальной базе Госстандарта. GOSTRF.com - это более 1 Терабайта бесплатной технической информации для всех пользователей интернета. Все электронные копии представленных здесь документов могут распространяться без каких-либо ограничений. Поощряется распространение информации с этого сайта на любых других ресурсах. Каждый человек имеет право на неограниченный доступ к этим документам! Каждый человек имеет право на знание требований, изложенных в данных нормативно-правовых актах!

  


 

ГОСТ Р ИСО/МЭК ТО 10000-2-99

Информационная технология. Основы и таксономия международных функциональных стандартов. Часть 2. Принципы и таксономия профилей ВОС

Обозначение:ГОСТ Р ИСО/МЭК ТО 10000-2-99
Текущий статус документа: действующий
Название документа рус.:Информационная технология. Основы и таксономия международных функциональных стандартов. Часть 2. Принципы и таксономия профилей ВОС
Название документа англ.:Information technology. Framework and taxonomy of International Standardized Profiles. Part 2. Principles and taxonomy for OSI profiles
Дата актуализации текста:01.12.2013
Дата издания:18.02.2000
Дата введения:01.07.2000
Дата последнего изменения:22.05.2013
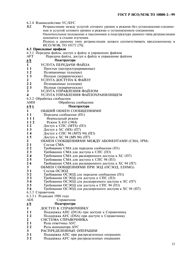
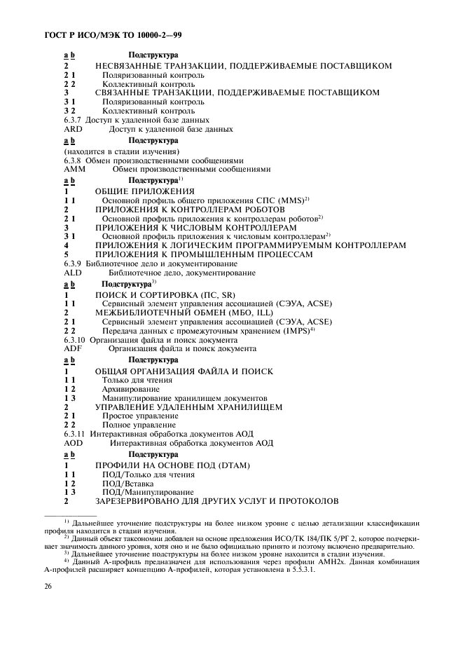
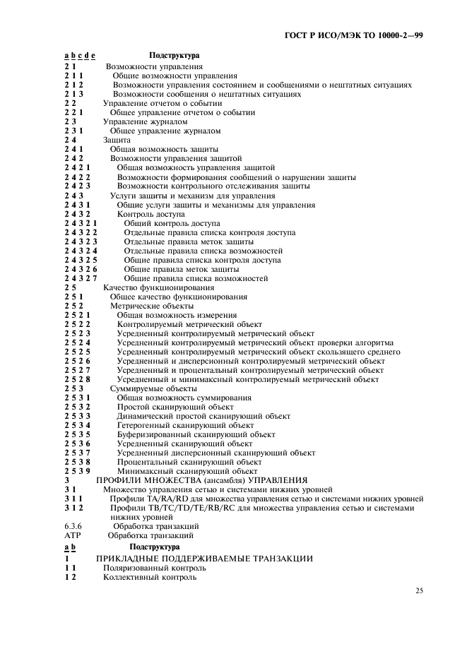
Область применения:Настоящий стандарт определяет общие принципы и классификационную схему (таксономию) профилей ВОС, которые могут быть или были представлены для принятия в качестве международных функциональных стандартов
ГОСТ Р ИСО/МЭК ТО 10000-2-99ГОСТ Р ИСО/МЭК ТО 10000-2-99ГОСТ Р ИСО/МЭК ТО 10000-2-99ГОСТ Р ИСО/МЭК ТО 10000-2-99ГОСТ Р ИСО/МЭК ТО 10000-2-99ГОСТ Р ИСО/МЭК ТО 10000-2-99ГОСТ Р ИСО/МЭК ТО 10000-2-99ГОСТ Р ИСО/МЭК ТО 10000-2-99ГОСТ Р ИСО/МЭК ТО 10000-2-99ГОСТ Р ИСО/МЭК ТО 10000-2-99ГОСТ Р ИСО/МЭК ТО 10000-2-99ГОСТ Р ИСО/МЭК ТО 10000-2-99ГОСТ Р ИСО/МЭК ТО 10000-2-99ГОСТ Р ИСО/МЭК ТО 10000-2-99ГОСТ Р ИСО/МЭК ТО 10000-2-99ГОСТ Р ИСО/МЭК ТО 10000-2-99ГОСТ Р ИСО/МЭК ТО 10000-2-99ГОСТ Р ИСО/МЭК ТО 10000-2-99ГОСТ Р ИСО/МЭК ТО 10000-2-99ГОСТ Р ИСО/МЭК ТО 10000-2-99ГОСТ Р ИСО/МЭК ТО 10000-2-99ГОСТ Р ИСО/МЭК ТО 10000-2-99ГОСТ Р ИСО/МЭК ТО 10000-2-99ГОСТ Р ИСО/МЭК ТО 10000-2-99ГОСТ Р ИСО/МЭК ТО 10000-2-99ГОСТ Р ИСО/МЭК ТО 10000-2-99ГОСТ Р ИСО/МЭК ТО 10000-2-99ГОСТ Р ИСО/МЭК ТО 10000-2-99ГОСТ Р ИСО/МЭК ТО 10000-2-99ГОСТ Р ИСО/МЭК ТО 10000-2-99ГОСТ Р ИСО/МЭК ТО 10000-2-99ГОСТ Р ИСО/МЭК ТО 10000-2-99ГОСТ Р ИСО/МЭК ТО 10000-2-99ГОСТ Р ИСО/МЭК ТО 10000-2-99ГОСТ Р ИСО/МЭК ТО 10000-2-99ГОСТ Р ИСО/МЭК ТО 10000-2-99
 




ГОСТЫ, СТРОИТЕЛЬНЫЕ и ТЕХНИЧЕСКИЕ НОРМАТИВЫ.
Некоммерческая онлайн система, содержащая все Российские Госты, национальные Стандарты и нормативы.
В Системе содержится более 150000 файлов нормативно-технической документации, действующей на территории РФ.
Система предназначена для широкого круга инженерно-технических специалистов.

Рейтинг@Mail.ru Яндекс цитирования

Copyright © www.gostrf.com, 2008 - 2026