Крупнейшая бесплатная информационно-справочная система онлайн доступа к полному собранию технических нормативно-правовых актов РФ. Огромная база технических нормативов (более 150 тысяч документов) и полное собрание национальных стандартов, аутентичное официальной базе Госстандарта. GOSTRF.com - это более 1 Терабайта бесплатной технической информации для всех пользователей интернета. Все электронные копии представленных здесь документов могут распространяться без каких-либо ограничений. Поощряется распространение информации с этого сайта на любых других ресурсах. Каждый человек имеет право на неограниченный доступ к этим документам! Каждый человек имеет право на знание требований, изложенных в данных нормативно-правовых актах!

  


 

ГОСТ Р ИСО/МЭК 10177-99

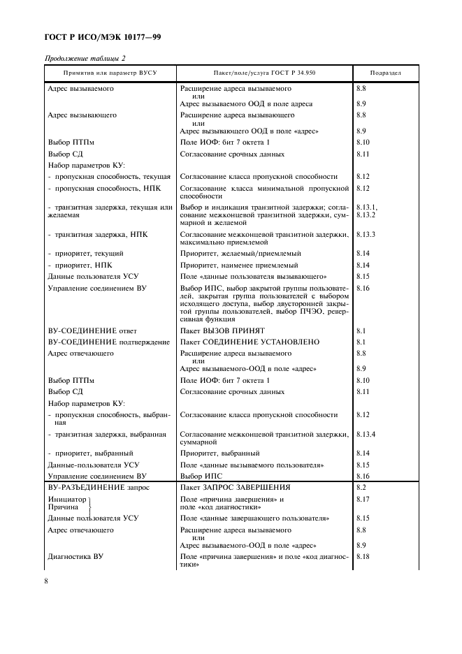
Информационная технология. Передача данных и обмен информацией между системами. Обеспечение промежуточными системами внутренних услуг сетевого уровня в режиме с установлением соединения при использовании протокола пакетного уровня Х.25 по ГОСТ Р 34.950

Обозначение:ГОСТ Р ИСО/МЭК 10177-99
Текущий статус документа: действующий
Название документа рус.:Информационная технология. Передача данных и обмен информацией между системами. Обеспечение промежуточными системами внутренних услуг сетевого уровня в режиме с установлением соединения при использовании протокола пакетного уровня Х.25 по ГОСТ Р 34.950
Название документа англ.:Information technology. Telecommunications and information exchange between systems. Provision of the connection-mode Network internal layer service by intermediate systems using ISO/IEC 8208, the X.25 packet layer protocol
Дата актуализации текста:01.12.2013
Дата издания:21.04.1999
Дата введения:01.01.2000
Дата последнего изменения:22.05.2013
Область применения:В настоящем стандарте определяется метод, с помощью которого УВД на сетевом уровне использует протокол пакетного уровня, определенный в ГОСТ Р 34.950 при обеспечении УСУ УС ВОС. Данная спецификация выражается в понятиях преобразований между внутренними услугами сетевого уровня, определенными в ГОСТ Р ИСО/МЭК 10028, и услугами виртуального соединения (ВС), и постоянного виртуального канала (ПВК) ППУ Х.25
ГОСТ Р ИСО/МЭК 10177-99ГОСТ Р ИСО/МЭК 10177-99ГОСТ Р ИСО/МЭК 10177-99ГОСТ Р ИСО/МЭК 10177-99ГОСТ Р ИСО/МЭК 10177-99ГОСТ Р ИСО/МЭК 10177-99ГОСТ Р ИСО/МЭК 10177-99ГОСТ Р ИСО/МЭК 10177-99ГОСТ Р ИСО/МЭК 10177-99ГОСТ Р ИСО/МЭК 10177-99ГОСТ Р ИСО/МЭК 10177-99ГОСТ Р ИСО/МЭК 10177-99ГОСТ Р ИСО/МЭК 10177-99ГОСТ Р ИСО/МЭК 10177-99ГОСТ Р ИСО/МЭК 10177-99ГОСТ Р ИСО/МЭК 10177-99ГОСТ Р ИСО/МЭК 10177-99ГОСТ Р ИСО/МЭК 10177-99ГОСТ Р ИСО/МЭК 10177-99ГОСТ Р ИСО/МЭК 10177-99ГОСТ Р ИСО/МЭК 10177-99ГОСТ Р ИСО/МЭК 10177-99ГОСТ Р ИСО/МЭК 10177-99ГОСТ Р ИСО/МЭК 10177-99ГОСТ Р ИСО/МЭК 10177-99ГОСТ Р ИСО/МЭК 10177-99ГОСТ Р ИСО/МЭК 10177-99ГОСТ Р ИСО/МЭК 10177-99ГОСТ Р ИСО/МЭК 10177-99ГОСТ Р ИСО/МЭК 10177-99ГОСТ Р ИСО/МЭК 10177-99ГОСТ Р ИСО/МЭК 10177-99ГОСТ Р ИСО/МЭК 10177-99ГОСТ Р ИСО/МЭК 10177-99ГОСТ Р ИСО/МЭК 10177-99
 




ГОСТЫ, СТРОИТЕЛЬНЫЕ и ТЕХНИЧЕСКИЕ НОРМАТИВЫ.
Некоммерческая онлайн система, содержащая все Российские Госты, национальные Стандарты и нормативы.
В Системе содержится более 150000 файлов нормативно-технической документации, действующей на территории РФ.
Система предназначена для широкого круга инженерно-технических специалистов.

Рейтинг@Mail.ru Яндекс цитирования

Copyright © www.gostrf.com, 2008 - 2026