Крупнейшая бесплатная информационно-справочная система онлайн доступа к полному собранию технических нормативно-правовых актов РФ. Огромная база технических нормативов (более 150 тысяч документов) и полное собрание национальных стандартов, аутентичное официальной базе Госстандарта. GOSTRF.com - это более 1 Терабайта бесплатной технической информации для всех пользователей интернета. Все электронные копии представленных здесь документов могут распространяться без каких-либо ограничений. Поощряется распространение информации с этого сайта на любых других ресурсах. Каждый человек имеет право на неограниченный доступ к этим документам! Каждый человек имеет право на знание требований, изложенных в данных нормативно-правовых актах!

  


 

ГОСТ Р 50035-92

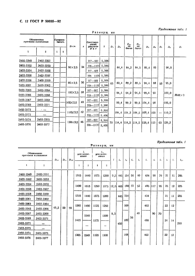
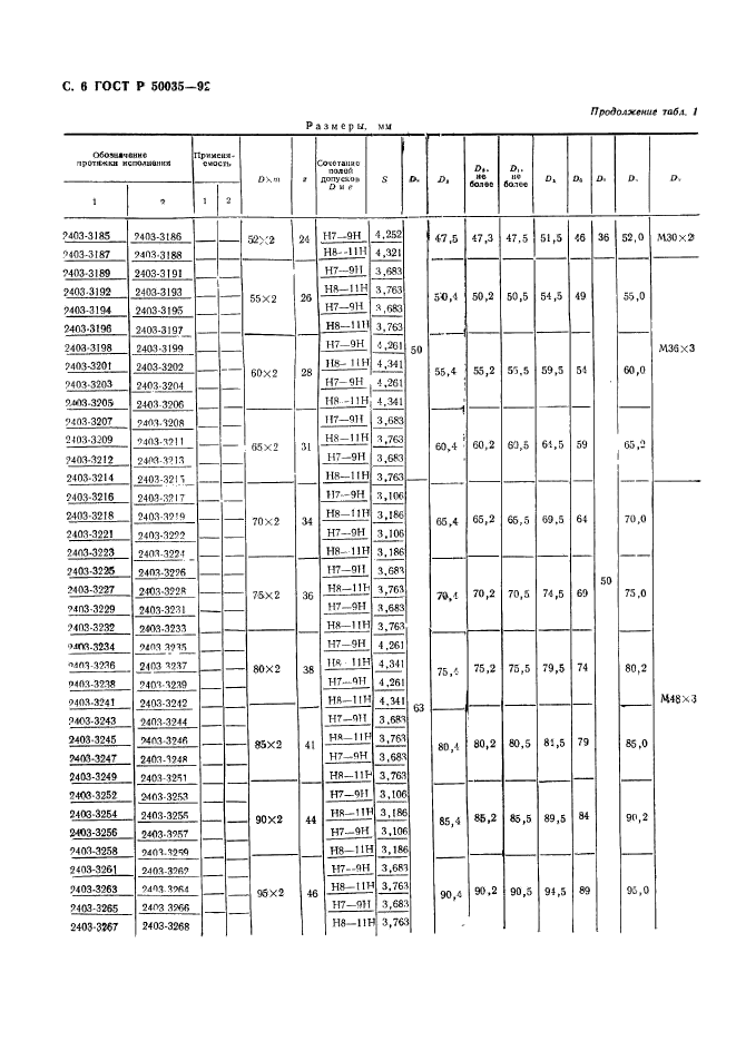
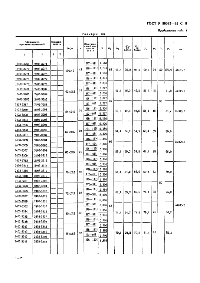
Протяжки с навертным хвостовиком для шлицевых отверстий с эвольвентным профилем диаметром от 50 до 120 мм, модулем от 1,5 до 2,5 мм с центрированием по наружному диаметру комбинированные. Конструкция

Обозначение:ГОСТ Р 50035-92
Текущий статус документа: действующий
Название документа рус.:Протяжки с навертным хвостовиком для шлицевых отверстий с эвольвентным профилем диаметром от 50 до 120 мм, модулем от 1,5 до 2,5 мм с центрированием по наружному диаметру комбинированные. Конструкция
Название документа англ.:Combined broaches with diameter from 50 to 120 mm for slitting holes with involute profile with wind round tail and centring at outside diameter with module from 1,5 to 2,5 mm. Construction
Дата актуализации текста:01.12.2013
Дата издания:17.11.1992
Дата введения:01.01.1993
Дата последнего изменения:22.05.2013
Область применения:Настоящий стандарт распространяется на комбинированные однопроходные протяжки универсального назначения с навертным хвостовиком диаметром D от 50 до 120 мм, модулем m от 1,5 до 2,5 мм, предназначенные для обработки шлицевых втулок с эвольвентным профилем по ГОСТ 6033 с центрированием по наружному диаметру
ГОСТ Р 50035-92ГОСТ Р 50035-92ГОСТ Р 50035-92ГОСТ Р 50035-92ГОСТ Р 50035-92ГОСТ Р 50035-92ГОСТ Р 50035-92ГОСТ Р 50035-92ГОСТ Р 50035-92ГОСТ Р 50035-92ГОСТ Р 50035-92ГОСТ Р 50035-92ГОСТ Р 50035-92ГОСТ Р 50035-92ГОСТ Р 50035-92ГОСТ Р 50035-92ГОСТ Р 50035-92ГОСТ Р 50035-92ГОСТ Р 50035-92ГОСТ Р 50035-92ГОСТ Р 50035-92ГОСТ Р 50035-92ГОСТ Р 50035-92ГОСТ Р 50035-92ГОСТ Р 50035-92ГОСТ Р 50035-92ГОСТ Р 50035-92ГОСТ Р 50035-92ГОСТ Р 50035-92ГОСТ Р 50035-92ГОСТ Р 50035-92ГОСТ Р 50035-92ГОСТ Р 50035-92ГОСТ Р 50035-92ГОСТ Р 50035-92ГОСТ Р 50035-92ГОСТ Р 50035-92ГОСТ Р 50035-92ГОСТ Р 50035-92ГОСТ Р 50035-92ГОСТ Р 50035-92ГОСТ Р 50035-92ГОСТ Р 50035-92ГОСТ Р 50035-92ГОСТ Р 50035-92ГОСТ Р 50035-92ГОСТ Р 50035-92ГОСТ Р 50035-92ГОСТ Р 50035-92ГОСТ Р 50035-92ГОСТ Р 50035-92ГОСТ Р 50035-92ГОСТ Р 50035-92ГОСТ Р 50035-92ГОСТ Р 50035-92ГОСТ Р 50035-92ГОСТ Р 50035-92ГОСТ Р 50035-92ГОСТ Р 50035-92ГОСТ Р 50035-92
 




ГОСТЫ, СТРОИТЕЛЬНЫЕ и ТЕХНИЧЕСКИЕ НОРМАТИВЫ.
Некоммерческая онлайн система, содержащая все Российские Госты, национальные Стандарты и нормативы.
В Системе содержится более 150000 файлов нормативно-технической документации, действующей на территории РФ.
Система предназначена для широкого круга инженерно-технических специалистов.

Рейтинг@Mail.ru Яндекс цитирования

Copyright © www.gostrf.com, 2008 - 2026