Крупнейшая бесплатная информационно-справочная система онлайн доступа к полному собранию технических нормативно-правовых актов РФ. Огромная база технических нормативов (более 150 тысяч документов) и полное собрание национальных стандартов, аутентичное официальной базе Госстандарта. GOSTRF.com - это более 1 Терабайта бесплатной технической информации для всех пользователей интернета. Все электронные копии представленных здесь документов могут распространяться без каких-либо ограничений. Поощряется распространение информации с этого сайта на любых других ресурсах. Каждый человек имеет право на неограниченный доступ к этим документам! Каждый человек имеет право на знание требований, изложенных в данных нормативно-правовых актах!

  


 

ГОСТ 29035-91

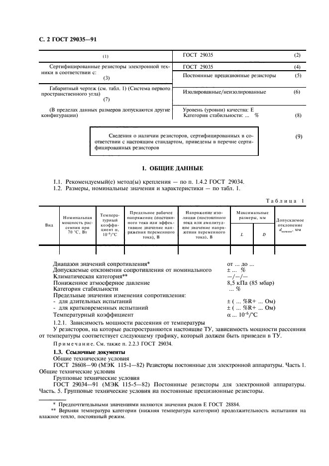
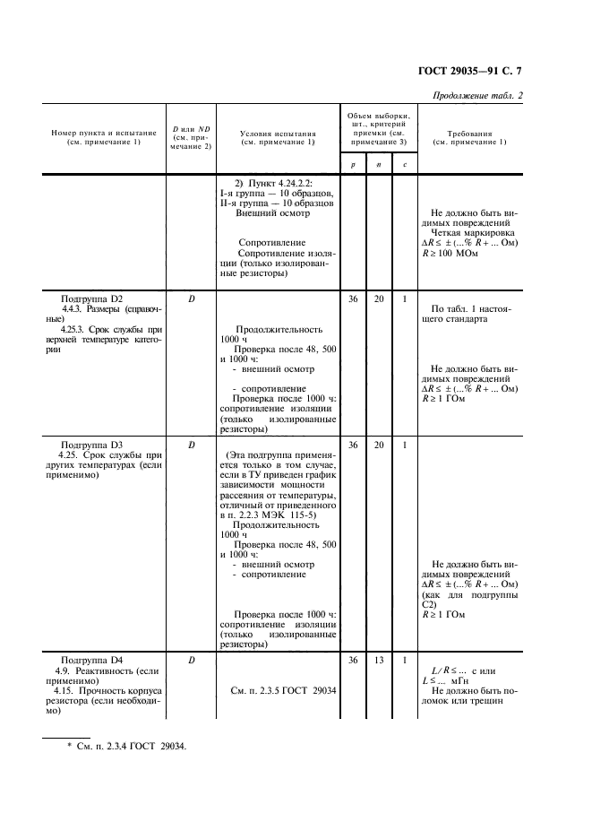
Постоянные резисторы для электронной аппаратуры. Часть 5. Форма технических условий на постоянные прецизионные резисторы. Уровень качества Е

Обозначение:ГОСТ 29035-91
Текущий статус документа: действующий
Название документа рус.:Постоянные резисторы для электронной аппаратуры. Часть 5. Форма технических условий на постоянные прецизионные резисторы. Уровень качества Е
Название документа англ.:Fixed resistors for use in electronic equirment. Part 5. Blank detail specification : fixed precision resistors. Assessment level E
Дата актуализации текста:01.12.2013
Дата издания:01.09.2004
Дата введения:30.06.1992
Дата последнего изменения:22.05.2013
Переиздание:переиздание
Область применения:Настоящий стандарт устанавливает требования к построению, изложению и минимальному содержанию ТУ на резисторы, в том числе подлежащие сертификации.
Стандарт подготовлен методом прямого применения международного стандарта МЭК 115-5-1
ГОСТ 29035-91ГОСТ 29035-91ГОСТ 29035-91ГОСТ 29035-91ГОСТ 29035-91ГОСТ 29035-91ГОСТ 29035-91ГОСТ 29035-91ГОСТ 29035-91ГОСТ 29035-91ГОСТ 29035-91
 




ГОСТЫ, СТРОИТЕЛЬНЫЕ и ТЕХНИЧЕСКИЕ НОРМАТИВЫ.
Некоммерческая онлайн система, содержащая все Российские Госты, национальные Стандарты и нормативы.
В Системе содержится более 150000 файлов нормативно-технической документации, действующей на территории РФ.
Система предназначена для широкого круга инженерно-технических специалистов.

Рейтинг@Mail.ru Яндекс цитирования

Copyright © www.gostrf.com, 2008 - 2026