Крупнейшая бесплатная информационно-справочная система онлайн доступа к полному собранию технических нормативно-правовых актов РФ. Огромная база технических нормативов (более 150 тысяч документов) и полное собрание национальных стандартов, аутентичное официальной базе Госстандарта. GOSTRF.com - это более 1 Терабайта бесплатной технической информации для всех пользователей интернета. Все электронные копии представленных здесь документов могут распространяться без каких-либо ограничений. Поощряется распространение информации с этого сайта на любых других ресурсах. Каждый человек имеет право на неограниченный доступ к этим документам! Каждый человек имеет право на знание требований, изложенных в данных нормативно-правовых актах!

  


 

ГОСТ 10417-88

Бобы кормовые. Требования при заготовках и поставках

Обозначение:ГОСТ 10417-88
Текущий статус документа: утратил силу в РФ
Название документа рус.:Бобы кормовые. Требования при заготовках и поставках
Название документа англ.:Morse beans. Requirements for state purchases and deliveries
Дата актуализации текста:01.12.2013
Дата издания:01.03.2002
Дата введения:30.06.1990
Дата последнего изменения:22.05.2013
Дата окончания срока действия:01.01.2013
Переиздание:переиздание
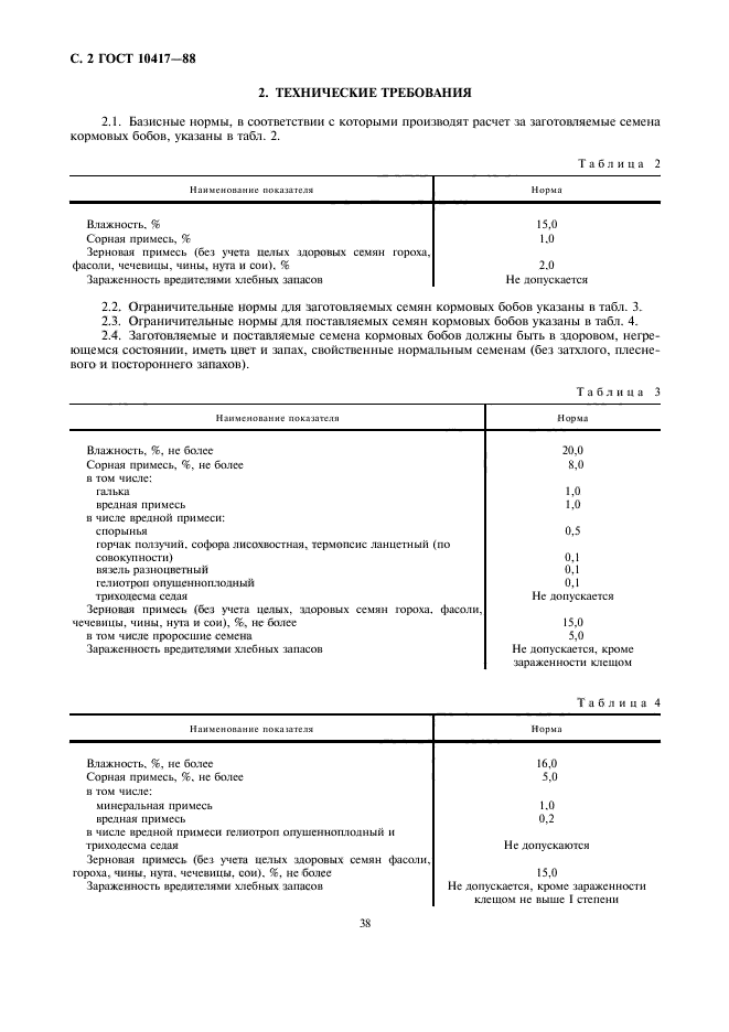
Область применения:Настоящий стандарт распространяется на семена кормовых бобов, заготовляемые и поставляемые государственной системой для переработки на комбикорма и на кормовые цели
Список изменений:№0 от 01.01.2013 (рег. 12.12.2011) «Поправка к изменению»
ГОСТ 10417-88ГОСТ 10417-88ГОСТ 10417-88ГОСТ 10417-88
 




ГОСТЫ, СТРОИТЕЛЬНЫЕ и ТЕХНИЧЕСКИЕ НОРМАТИВЫ.
Некоммерческая онлайн система, содержащая все Российские Госты, национальные Стандарты и нормативы.
В Системе содержится более 150000 файлов нормативно-технической документации, действующей на территории РФ.
Система предназначена для широкого круга инженерно-технических специалистов.

Рейтинг@Mail.ru Яндекс цитирования

Copyright © www.gostrf.com, 2008 - 2026