Крупнейшая бесплатная информационно-справочная система онлайн доступа к полному собранию технических нормативно-правовых актов РФ. Огромная база технических нормативов (более 150 тысяч документов) и полное собрание национальных стандартов, аутентичное официальной базе Госстандарта. GOSTRF.com - это более 1 Терабайта бесплатной технической информации для всех пользователей интернета. Все электронные копии представленных здесь документов могут распространяться без каких-либо ограничений. Поощряется распространение информации с этого сайта на любых других ресурсах. Каждый человек имеет право на неограниченный доступ к этим документам! Каждый человек имеет право на знание требований, изложенных в данных нормативно-правовых актах!

  


 

ГОСТ 8717.0-84

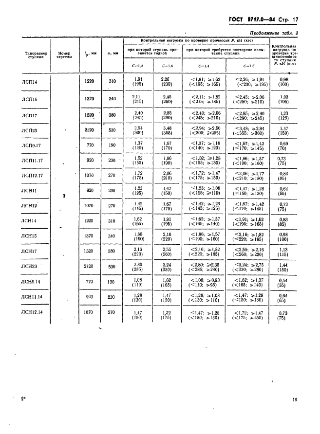
Ступени железобетонные и бетонные. Технические условия

Обозначение:ГОСТ 8717.0-84
Текущий статус документа: действующий
Название документа рус.:Ступени железобетонные и бетонные. Технические условия
Название документа англ.:Reinforced concrete and concrete steps. Specifications
Дата актуализации текста:01.12.2013
Дата издания:01.07.1987
Дата введения:01.01.1986
Дата последнего изменения:22.05.2013
Переиздание:переиздание с изм. 1
Область применения:Настоящий стандарт распространяется на железобетонные и бетонные ступени, изготовленные из тяжелого бетона и плотного силикатного бетона и предназначенные для устройств внутренних и наружных лестниц зданий и сооружений. Бетонные ступени предназначены для устройства лестниц по сплошному основанию
Список изменений:№1 от 01.08.1973 (рег. 27.04.1973) «Срок действия продлен»
ГОСТ 8717.0-84ГОСТ 8717.0-84ГОСТ 8717.0-84ГОСТ 8717.0-84ГОСТ 8717.0-84ГОСТ 8717.0-84ГОСТ 8717.0-84ГОСТ 8717.0-84ГОСТ 8717.0-84ГОСТ 8717.0-84ГОСТ 8717.0-84ГОСТ 8717.0-84ГОСТ 8717.0-84ГОСТ 8717.0-84ГОСТ 8717.0-84ГОСТ 8717.0-84ГОСТ 8717.0-84ГОСТ 8717.0-84ГОСТ 8717.0-84ГОСТ 8717.0-84ГОСТ 8717.0-84
 




ГОСТЫ, СТРОИТЕЛЬНЫЕ и ТЕХНИЧЕСКИЕ НОРМАТИВЫ.
Некоммерческая онлайн система, содержащая все Российские Госты, национальные Стандарты и нормативы.
В Системе содержится более 150000 файлов нормативно-технической документации, действующей на территории РФ.
Система предназначена для широкого круга инженерно-технических специалистов.

Рейтинг@Mail.ru Яндекс цитирования

Copyright © www.gostrf.com, 2008 - 2026