Крупнейшая бесплатная информационно-справочная система онлайн доступа к полному собранию технических нормативно-правовых актов РФ. Огромная база технических нормативов (более 150 тысяч документов) и полное собрание национальных стандартов, аутентичное официальной базе Госстандарта. GOSTRF.com - это более 1 Терабайта бесплатной технической информации для всех пользователей интернета. Все электронные копии представленных здесь документов могут распространяться без каких-либо ограничений. Поощряется распространение информации с этого сайта на любых других ресурсах. Каждый человек имеет право на неограниченный доступ к этим документам! Каждый человек имеет право на знание требований, изложенных в данных нормативно-правовых актах!

  


 

ГОСТ 8.464-82

Государственная система обеспечения единства измерений. Расход газа массовый. Расчетные зависимости косвенных методов измерений

Обозначение:ГОСТ 8.464-82
Текущий статус документа: действующий
Название документа рус.:Государственная система обеспечения единства измерений. Расход газа массовый. Расчетные зависимости косвенных методов измерений
Название документа англ.:State system for ensuring the uniformity of measurements. Gas mass flow rate. Calculated relations of indirect methods of measurements
Дата актуализации текста:01.12.2013
Дата издания:15.09.1986
Дата введения:30.06.1983
Дата последнего изменения:22.05.2013
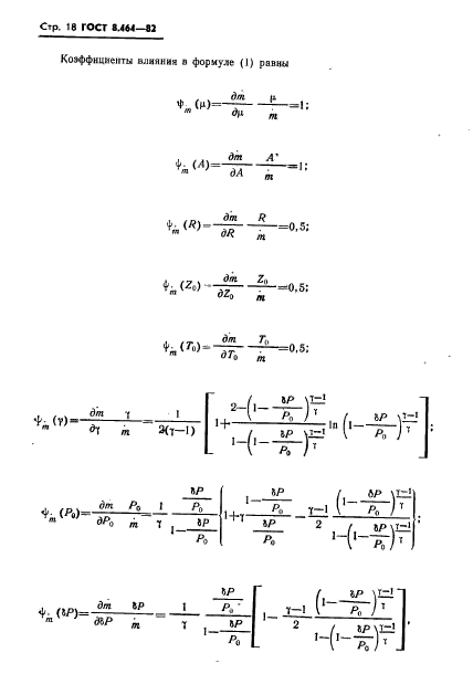
Область применения:Настоящий стандарт устанавливает комплекс расчетных зависимостей между массовым расходом стационарного изоэнтропического энергоизолированного однофазного потока газа, термогазодинамическими параметрами, параметрами состояния, физическими константами, эмпирическими коэффициентами и геометрическими размерами проточных каналов, а также требования к порядку получения исходных формул для оценки погрешности измерения массового расхода. Настоящий стандарт обязателен для применения при разработке средств измерений массового расхода газа, регламентированных к использованию ГОСТ 8.369-79, соответствующих стандартов методик выполнения измерений и нормативно-технических документов на методы и средства поверки. Расчетные зависимости для массового расхода газа, регламентированные настоящим стандартом, могут быть преобразованы в расчетные зависимости для объемного расхода газа, приведенного к нормальным условиям, установленным ГОСТ 2939-63. С этой целью зависимости для массового расхода газа делят на плотность газа при нормальных условиях Qн или на уравнение, выражающее эту плотность газа через давление, температуру, газовую постоянную и коэффициент сжимаемости Qн = Рн/ZнRTн
ГОСТ 8.464-82ГОСТ 8.464-82ГОСТ 8.464-82ГОСТ 8.464-82ГОСТ 8.464-82ГОСТ 8.464-82ГОСТ 8.464-82ГОСТ 8.464-82ГОСТ 8.464-82ГОСТ 8.464-82ГОСТ 8.464-82ГОСТ 8.464-82ГОСТ 8.464-82ГОСТ 8.464-82ГОСТ 8.464-82ГОСТ 8.464-82ГОСТ 8.464-82ГОСТ 8.464-82ГОСТ 8.464-82ГОСТ 8.464-82ГОСТ 8.464-82ГОСТ 8.464-82
 




ГОСТЫ, СТРОИТЕЛЬНЫЕ и ТЕХНИЧЕСКИЕ НОРМАТИВЫ.
Некоммерческая онлайн система, содержащая все Российские Госты, национальные Стандарты и нормативы.
В Системе содержится более 150000 файлов нормативно-технической документации, действующей на территории РФ.
Система предназначена для широкого круга инженерно-технических специалистов.

Рейтинг@Mail.ru Яндекс цитирования

Copyright © www.gostrf.com, 2008 - 2026