Крупнейшая бесплатная информационно-справочная система онлайн доступа к полному собранию технических нормативно-правовых актов РФ. Огромная база технических нормативов (более 150 тысяч документов) и полное собрание национальных стандартов, аутентичное официальной базе Госстандарта. GOSTRF.com - это более 1 Терабайта бесплатной технической информации для всех пользователей интернета. Все электронные копии представленных здесь документов могут распространяться без каких-либо ограничений. Поощряется распространение информации с этого сайта на любых других ресурсах. Каждый человек имеет право на неограниченный доступ к этим документам! Каждый человек имеет право на знание требований, изложенных в данных нормативно-правовых актах!

  


 

ГОСТ 17677-82

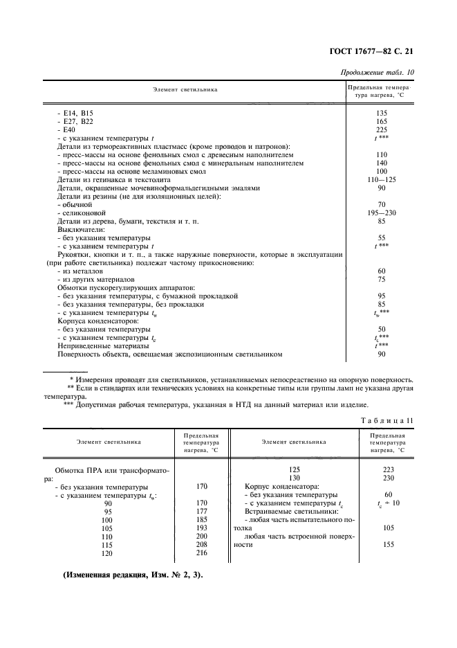
Светильники. Общие технические условия

Обозначение:ГОСТ 17677-82
Текущий статус документа: утратил силу в РФ
Название документа рус.:Светильники. Общие технические условия
Название документа англ.:Luminaires. General specifications
Дата актуализации текста:01.12.2013
Дата издания:01.01.2002
Дата введения:01.01.1983
Дата последнего изменения:22.05.2013
Дата окончания срока действия:01.07.2012
Переиздание:переиздание с изм. 1
Взамен:
Область применения:Настоящий стандарт распространяется на светильники для внутреннего освещения жилых, общественных помещений, производственных (в т.ч. сельскохозяйственных) зданий и на светильники для наружного освещения, предназначенные для работы в сетях переменного тока напряжением до 1000 В, изготовляемые для нужд народного хозяйства и для экспорта.
Стандарт не распространяется на светильники:
- для внутреннего освещения транспортных средств;
- с индивидуальными источниками питания;
- специальные медицинские;
- судовые
Список изменений:№0 от 01.07.2012 (рег. 11.07.2011) «Поправка к изменению»
№1 от 01.01.1987 (рег. 29.12.1986) «Срок действия продлен»
№2 от 01.01.1988 (рег. 29.06.1987) «Срок действия продлен»
№3 от 01.01.1990 (рег. 17.04.1989) «Срок действия продлен»
ГОСТ 17677-82ГОСТ 17677-82ГОСТ 17677-82ГОСТ 17677-82ГОСТ 17677-82ГОСТ 17677-82ГОСТ 17677-82ГОСТ 17677-82ГОСТ 17677-82ГОСТ 17677-82ГОСТ 17677-82ГОСТ 17677-82ГОСТ 17677-82ГОСТ 17677-82ГОСТ 17677-82ГОСТ 17677-82ГОСТ 17677-82ГОСТ 17677-82ГОСТ 17677-82ГОСТ 17677-82ГОСТ 17677-82ГОСТ 17677-82ГОСТ 17677-82ГОСТ 17677-82ГОСТ 17677-82ГОСТ 17677-82ГОСТ 17677-82ГОСТ 17677-82ГОСТ 17677-82ГОСТ 17677-82ГОСТ 17677-82ГОСТ 17677-82ГОСТ 17677-82ГОСТ 17677-82ГОСТ 17677-82ГОСТ 17677-82ГОСТ 17677-82ГОСТ 17677-82ГОСТ 17677-82ГОСТ 17677-82ГОСТ 17677-82ГОСТ 17677-82ГОСТ 17677-82ГОСТ 17677-82ГОСТ 17677-82ГОСТ 17677-82ГОСТ 17677-82ГОСТ 17677-82ГОСТ 17677-82ГОСТ 17677-82ГОСТ 17677-82ГОСТ 17677-82ГОСТ 17677-82ГОСТ 17677-82ГОСТ 17677-82ГОСТ 17677-82ГОСТ 17677-82ГОСТ 17677-82ГОСТ 17677-82ГОСТ 17677-82ГОСТ 17677-82ГОСТ 17677-82ГОСТ 17677-82ГОСТ 17677-82ГОСТ 17677-82ГОСТ 17677-82ГОСТ 17677-82ГОСТ 17677-82ГОСТ 17677-82ГОСТ 17677-82ГОСТ 17677-82
 




ГОСТЫ, СТРОИТЕЛЬНЫЕ и ТЕХНИЧЕСКИЕ НОРМАТИВЫ.
Некоммерческая онлайн система, содержащая все Российские Госты, национальные Стандарты и нормативы.
В Системе содержится более 150000 файлов нормативно-технической документации, действующей на территории РФ.
Система предназначена для широкого круга инженерно-технических специалистов.

Рейтинг@Mail.ru Яндекс цитирования

Copyright © www.gostrf.com, 2008 - 2026