Крупнейшая бесплатная информационно-справочная система онлайн доступа к полному собранию технических нормативно-правовых актов РФ. Огромная база технических нормативов (более 150 тысяч документов) и полное собрание национальных стандартов, аутентичное официальной базе Госстандарта. GOSTRF.com - это более 1 Терабайта бесплатной технической информации для всех пользователей интернета. Все электронные копии представленных здесь документов могут распространяться без каких-либо ограничений. Поощряется распространение информации с этого сайта на любых других ресурсах. Каждый человек имеет право на неограниченный доступ к этим документам! Каждый человек имеет право на знание требований, изложенных в данных нормативно-правовых актах!

  


 

ГОСТ 2239-79

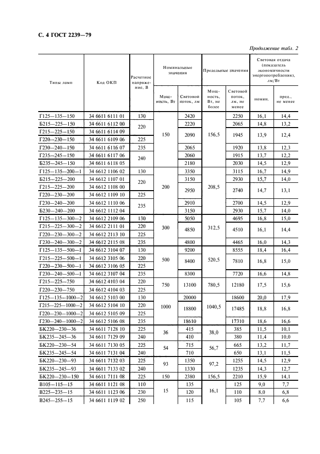
Лампы накаливания общего назначения. Технические условия

Обозначение:ГОСТ 2239-79
Текущий статус документа: действующий
Название документа рус.:Лампы накаливания общего назначения. Технические условия
Название документа англ.:Electric filament lamps for general purpose. Specifications
Дата актуализации текста:01.12.2013
Дата издания:01.07.2003
Дата введения:01.01.1981
Дата последнего изменения:22.05.2013
Переиздание:переиздание с изм. 1
Область применения:Настоящий стандарт распространяется на лампы накаливания общего назначения, предназначенные для светильников внутреннего и наружного освещения, в сетях переменного тока с номинальным напряжением 127 или 220 В частоты 50 Гц
Список изменений:№0 от 01.01.2008 (рег. 26.01.2007) «Поправка к изменению»
№1 от 01.05.1982 (рег. 10.12.1981) «Срок действия продлен»
№2 от 01.01.1984 (рег. 21.03.1983) «Срок действия продлен»
№3 от 01.01.1986 (рег. 23.08.1985) «Срок действия продлен»
№4 от 01.07.1988 (рег. 23.04.1987) «Срок действия продлен»
№5 от 01.04.1989 (рег. 26.09.1988) «Срок действия продлен»
№6 от 01.01.1990 (рег. 10.07.1989) «Срок действия продлен»
№7 от 01.07.1991 (рег. 21.12.1990) «Срок действия продлен»
ГОСТ 2239-79ГОСТ 2239-79ГОСТ 2239-79ГОСТ 2239-79ГОСТ 2239-79ГОСТ 2239-79ГОСТ 2239-79ГОСТ 2239-79ГОСТ 2239-79ГОСТ 2239-79ГОСТ 2239-79ГОСТ 2239-79ГОСТ 2239-79ГОСТ 2239-79ГОСТ 2239-79ГОСТ 2239-79ГОСТ 2239-79ГОСТ 2239-79ГОСТ 2239-79ГОСТ 2239-79ГОСТ 2239-79ГОСТ 2239-79ГОСТ 2239-79
 




ГОСТЫ, СТРОИТЕЛЬНЫЕ и ТЕХНИЧЕСКИЕ НОРМАТИВЫ.
Некоммерческая онлайн система, содержащая все Российские Госты, национальные Стандарты и нормативы.
В Системе содержится более 150000 файлов нормативно-технической документации, действующей на территории РФ.
Система предназначена для широкого круга инженерно-технических специалистов.

Рейтинг@Mail.ru Яндекс цитирования

Copyright © www.gostrf.com, 2008 - 2026