Крупнейшая бесплатная информационно-справочная система онлайн доступа к полному собранию технических нормативно-правовых актов РФ. Огромная база технических нормативов (более 150 тысяч документов) и полное собрание национальных стандартов, аутентичное официальной базе Госстандарта. GOSTRF.com - это более 1 Терабайта бесплатной технической информации для всех пользователей интернета. Все электронные копии представленных здесь документов могут распространяться без каких-либо ограничений. Поощряется распространение информации с этого сайта на любых других ресурсах. Каждый человек имеет право на неограниченный доступ к этим документам! Каждый человек имеет право на знание требований, изложенных в данных нормативно-правовых актах!

  


 

ГОСТ Р 52350.1.1-2006

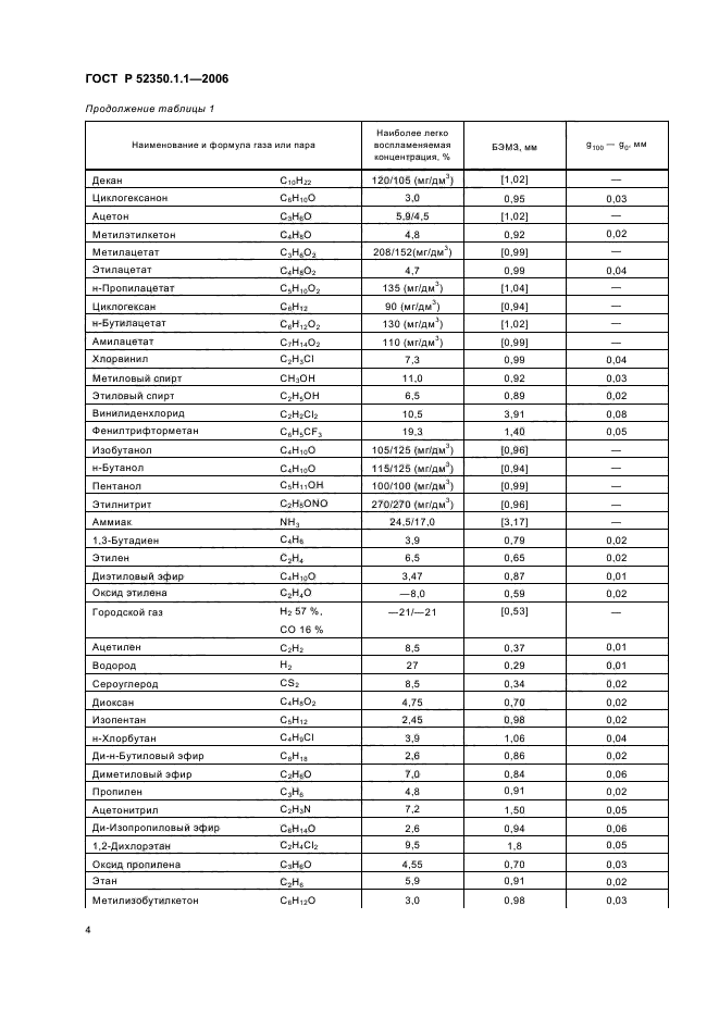
Электрооборудование для взрывоопасных газовых сред. Часть 1-1. Взрывонепроницаемые оболочки "D". Метод испытания для определения безопасного экспериментального максимального зазора

Обозначение:ГОСТ Р 52350.1.1-2006
Текущий статус документа: заменён
Название документа рус.:Электрооборудование для взрывоопасных газовых сред. Часть 1-1. Взрывонепроницаемые оболочки "D". Метод испытания для определения безопасного экспериментального максимального зазора
Название документа англ.:Electrical apparatus for explosive gas atmospheres. Part 1-1. Flameproof enclosures "d". Method of testing for ascertainment of maximum experimental safe gap
Дата актуализации текста:01.12.2013
Дата издания:06.10.2006
Дата введения:30.06.2007
Дата последнего изменения:22.05.2013
Дата окончания срока действия:01.07.2012
Область применения:Настоящий стандарт устанавливает метод определения безопасных экспериментальных максимальных зазоров для газо- или паровоздушных смесей при нормальной температуре и давлении для подбора соответствующих групп взрывонепроницаемых оболочек.
Настоящий метод не учитывает возможное воздействие помех на безопасные зазоры
ГОСТ Р 52350.1.1-2006ГОСТ Р 52350.1.1-2006ГОСТ Р 52350.1.1-2006ГОСТ Р 52350.1.1-2006ГОСТ Р 52350.1.1-2006ГОСТ Р 52350.1.1-2006ГОСТ Р 52350.1.1-2006ГОСТ Р 52350.1.1-2006ГОСТ Р 52350.1.1-2006ГОСТ Р 52350.1.1-2006ГОСТ Р 52350.1.1-2006ГОСТ Р 52350.1.1-2006
 




ГОСТЫ, СТРОИТЕЛЬНЫЕ и ТЕХНИЧЕСКИЕ НОРМАТИВЫ.
Некоммерческая онлайн система, содержащая все Российские Госты, национальные Стандарты и нормативы.
В Системе содержится более 150000 файлов нормативно-технической документации, действующей на территории РФ.
Система предназначена для широкого круга инженерно-технических специалистов.

Рейтинг@Mail.ru Яндекс цитирования

Copyright © www.gostrf.com, 2008 - 2026