Крупнейшая бесплатная информационно-справочная система онлайн доступа к полному собранию технических нормативно-правовых актов РФ. Огромная база технических нормативов (более 150 тысяч документов) и полное собрание национальных стандартов, аутентичное официальной базе Госстандарта. GOSTRF.com - это более 1 Терабайта бесплатной технической информации для всех пользователей интернета. Все электронные копии представленных здесь документов могут распространяться без каких-либо ограничений. Поощряется распространение информации с этого сайта на любых других ресурсах. Каждый человек имеет право на неограниченный доступ к этим документам! Каждый человек имеет право на знание требований, изложенных в данных нормативно-правовых актах!

  


 

ГОСТ Р 52471-2005

Корма. Иммуноферментный метод определения микотоксинов

Обозначение:ГОСТ Р 52471-2005
Текущий статус документа: отменён
Название документа рус.:Корма. Иммуноферментный метод определения микотоксинов
Название документа англ.:Feedstuffs. Immunoenzyme method of mycotoxin determination
Дата актуализации текста:01.12.2013
Дата издания:06.04.2006
Дата введения:01.01.2007
Дата последнего изменения:15.07.2013
Дата окончания срока действия:01.07.2013
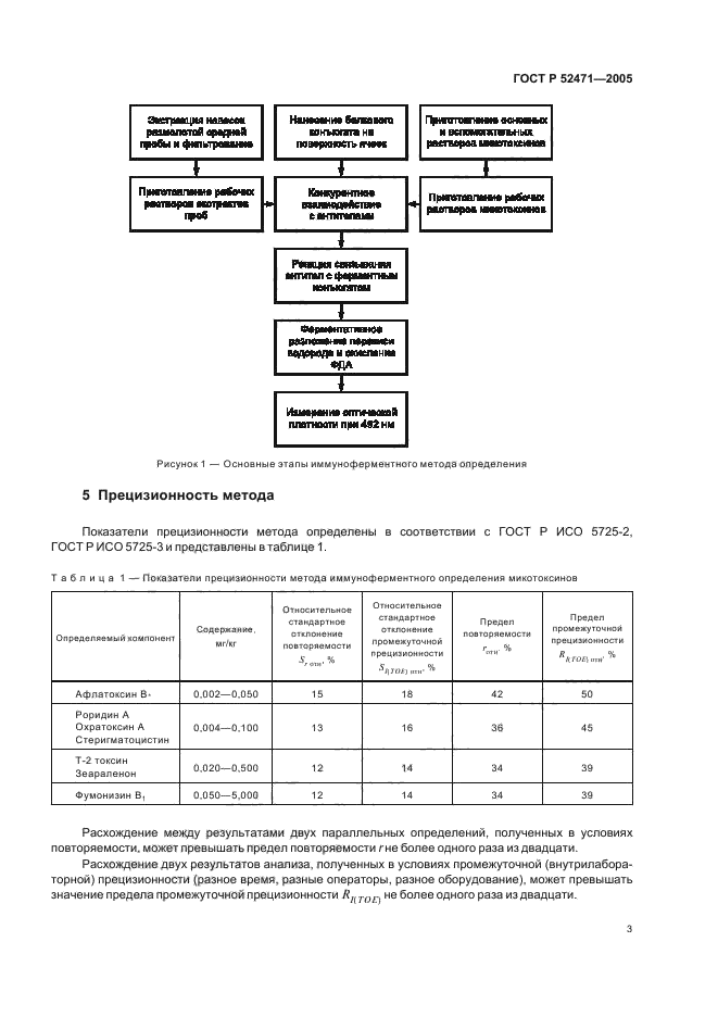
Область применения:Настоящий стандарт устанавливает иммуноферментный метод определения содержания микотоксинов (афлатоксин В1, роридин А, охратоксин А, стеригматоцистин, Т-2 токсин, зеараленон, фумонизин В1) в кормах.
Настоящий стандарт распространяется на зерновые корма, зернобобовые кормовые культуры, искусственно высушенные и грубые корма, продукцию комбикормовой промышленности (комбикорма полнорационные, комбикорма-концентраты), сырье для производства кормов и кормовые добавки, за исключением кормовых добавок минерального происхождения и продукции органического синтеза
Список изменений:№0 от 01.07.2013 (рег. 18.09.2012) «Текстовое изменение; Изменено заглавие»
ГОСТ Р 52471-2005ГОСТ Р 52471-2005ГОСТ Р 52471-2005ГОСТ Р 52471-2005ГОСТ Р 52471-2005ГОСТ Р 52471-2005ГОСТ Р 52471-2005ГОСТ Р 52471-2005ГОСТ Р 52471-2005ГОСТ Р 52471-2005ГОСТ Р 52471-2005ГОСТ Р 52471-2005ГОСТ Р 52471-2005ГОСТ Р 52471-2005ГОСТ Р 52471-2005
 




ГОСТЫ, СТРОИТЕЛЬНЫЕ и ТЕХНИЧЕСКИЕ НОРМАТИВЫ.
Некоммерческая онлайн система, содержащая все Российские Госты, национальные Стандарты и нормативы.
В Системе содержится более 150000 файлов нормативно-технической документации, действующей на территории РФ.
Система предназначена для широкого круга инженерно-технических специалистов.

Рейтинг@Mail.ru Яндекс цитирования

Copyright © www.gostrf.com, 2008 - 2026