Крупнейшая бесплатная информационно-справочная система онлайн доступа к полному собранию технических нормативно-правовых актов РФ. Огромная база технических нормативов (более 150 тысяч документов) и полное собрание национальных стандартов, аутентичное официальной базе Госстандарта. GOSTRF.com - это более 1 Терабайта бесплатной технической информации для всех пользователей интернета. Все электронные копии представленных здесь документов могут распространяться без каких-либо ограничений. Поощряется распространение информации с этого сайта на любых других ресурсах. Каждый человек имеет право на неограниченный доступ к этим документам! Каждый человек имеет право на знание требований, изложенных в данных нормативно-правовых актах!

  


 

ГОСТ Р 52283-2004

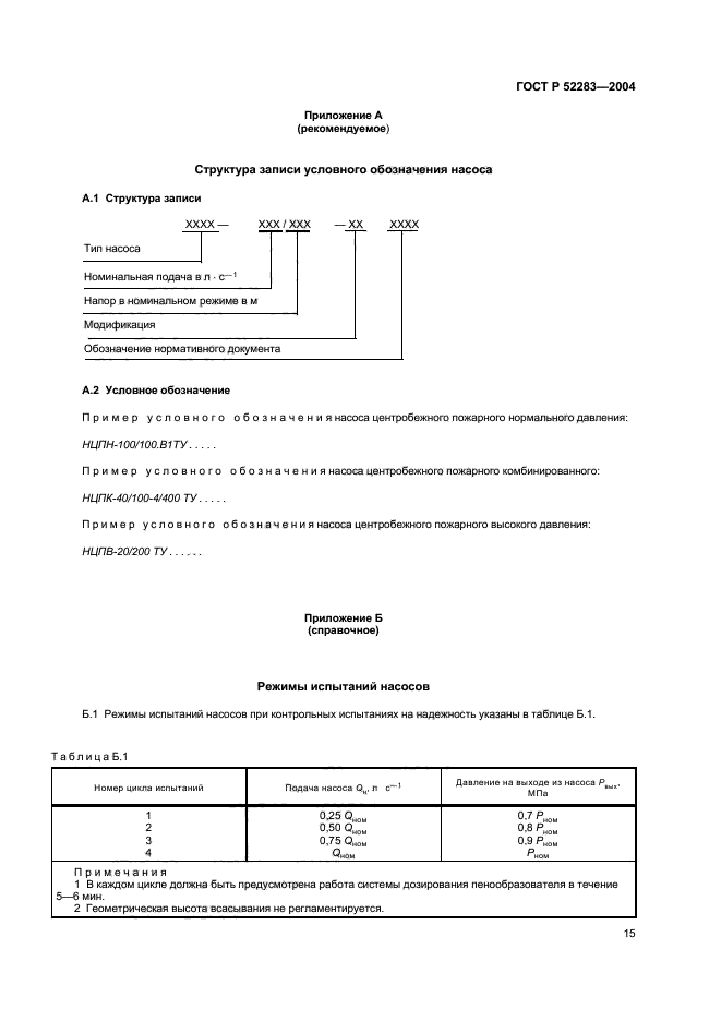
Насосы центробежные пожарные. Общие технические требования. Методы испытаний

Обозначение:ГОСТ Р 52283-2004
Текущий статус документа: действующий
Название документа рус.:Насосы центробежные пожарные. Общие технические требования. Методы испытаний
Название документа англ.:Fire-fighting centrifugal pumps. General technical requirements. Test methods
Дата актуализации текста:01.12.2013
Дата издания:14.02.2005
Дата введения:01.01.2006
Дата последнего изменения:22.05.2013
Область применения:Настоящий стандарт распространяется на центробежные пожарные насосы (нормального давления, высокого давления, комбинированные), предназначенные для подачи воды и водных растворов пенообразователей температурой до 303 К (30 град. С) с водородным показателем от 7 до 10,5 рН плотностью до 1100 кг.м в ст. минус 3 и массовой концентрацией твердых частиц до 0,5% при их максимальном размере 3 мм.
Насосы используются для установки в закрытых отсеках пожарных автомобилей, пожарных катеров, передвижных пожарных установок, в которых во время работы обеспечивается положительная температура
ГОСТ Р 52283-2004ГОСТ Р 52283-2004ГОСТ Р 52283-2004ГОСТ Р 52283-2004ГОСТ Р 52283-2004ГОСТ Р 52283-2004ГОСТ Р 52283-2004ГОСТ Р 52283-2004ГОСТ Р 52283-2004ГОСТ Р 52283-2004ГОСТ Р 52283-2004ГОСТ Р 52283-2004ГОСТ Р 52283-2004ГОСТ Р 52283-2004ГОСТ Р 52283-2004ГОСТ Р 52283-2004ГОСТ Р 52283-2004ГОСТ Р 52283-2004ГОСТ Р 52283-2004
 




ГОСТЫ, СТРОИТЕЛЬНЫЕ и ТЕХНИЧЕСКИЕ НОРМАТИВЫ.
Некоммерческая онлайн система, содержащая все Российские Госты, национальные Стандарты и нормативы.
В Системе содержится более 150000 файлов нормативно-технической документации, действующей на территории РФ.
Система предназначена для широкого круга инженерно-технических специалистов.

Рейтинг@Mail.ru Яндекс цитирования

Copyright © www.gostrf.com, 2008 - 2026