Крупнейшая бесплатная информационно-справочная система онлайн доступа к полному собранию технических нормативно-правовых актов РФ. Огромная база технических нормативов (более 150 тысяч документов) и полное собрание национальных стандартов, аутентичное официальной базе Госстандарта. GOSTRF.com - это более 1 Терабайта бесплатной технической информации для всех пользователей интернета. Все электронные копии представленных здесь документов могут распространяться без каких-либо ограничений. Поощряется распространение информации с этого сайта на любых других ресурсах. Каждый человек имеет право на неограниченный доступ к этим документам! Каждый человек имеет право на знание требований, изложенных в данных нормативно-правовых актах!

  


 

ГОСТ Р 25645.167-2005

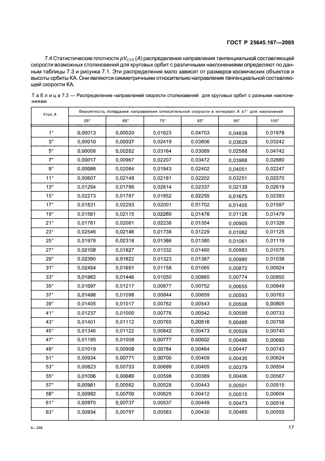
Космическая среда (естественная и искусственная). Модель пространственно-временного распределения плотности потоков техногенного вещества в космическом пространстве

Обозначение:ГОСТ Р 25645.167-2005
Текущий статус документа: действующий
Название документа рус.:Космическая среда (естественная и искусственная). Модель пространственно-временного распределения плотности потоков техногенного вещества в космическом пространстве
Название документа англ.:Space environment (natural and artificial). Model of spatial and time distribution for space debris in LEO
Дата актуализации текста:01.12.2013
Дата издания:25.04.2005
Дата введения:01.01.2006
Дата последнего изменения:22.05.2013
Область применения:Настоящий стандарт устанавливает модель пространственно-временного распределения плотности потоков техногенного вещества размером более 0,1 см на удалении от поверхности Земли от 200 до 2000 км в произвольный момент времени с 2000 г. по 2025 г.
Стандарт предназначен для:
- использования в расчетах при определении условий функционирования и полета космических аппаратов в околоземном пространстве;
- разработки мероприятий по обеспечению экологической безопасности при создании и эксплуатации орбитальных средств;
- обоснования и оценки эффективности мероприятий и рекомендаций, направленных на ослабление антропогенного воздействия на космическую среду;
- обоснования параметров и условий применения наземной и бортовой аппаратуры, предназначенной для измерения характеристик техногенного вещества в околоземном космическом пространстве
ГОСТ Р 25645.167-2005ГОСТ Р 25645.167-2005ГОСТ Р 25645.167-2005ГОСТ Р 25645.167-2005ГОСТ Р 25645.167-2005ГОСТ Р 25645.167-2005ГОСТ Р 25645.167-2005ГОСТ Р 25645.167-2005ГОСТ Р 25645.167-2005ГОСТ Р 25645.167-2005ГОСТ Р 25645.167-2005ГОСТ Р 25645.167-2005ГОСТ Р 25645.167-2005ГОСТ Р 25645.167-2005ГОСТ Р 25645.167-2005ГОСТ Р 25645.167-2005ГОСТ Р 25645.167-2005ГОСТ Р 25645.167-2005ГОСТ Р 25645.167-2005ГОСТ Р 25645.167-2005ГОСТ Р 25645.167-2005ГОСТ Р 25645.167-2005ГОСТ Р 25645.167-2005ГОСТ Р 25645.167-2005ГОСТ Р 25645.167-2005ГОСТ Р 25645.167-2005ГОСТ Р 25645.167-2005ГОСТ Р 25645.167-2005ГОСТ Р 25645.167-2005ГОСТ Р 25645.167-2005ГОСТ Р 25645.167-2005ГОСТ Р 25645.167-2005ГОСТ Р 25645.167-2005ГОСТ Р 25645.167-2005ГОСТ Р 25645.167-2005ГОСТ Р 25645.167-2005ГОСТ Р 25645.167-2005ГОСТ Р 25645.167-2005ГОСТ Р 25645.167-2005ГОСТ Р 25645.167-2005ГОСТ Р 25645.167-2005ГОСТ Р 25645.167-2005ГОСТ Р 25645.167-2005ГОСТ Р 25645.167-2005ГОСТ Р 25645.167-2005
 




ГОСТЫ, СТРОИТЕЛЬНЫЕ и ТЕХНИЧЕСКИЕ НОРМАТИВЫ.
Некоммерческая онлайн система, содержащая все Российские Госты, национальные Стандарты и нормативы.
В Системе содержится более 150000 файлов нормативно-технической документации, действующей на территории РФ.
Система предназначена для широкого круга инженерно-технических специалистов.

Рейтинг@Mail.ru Яндекс цитирования

Copyright © www.gostrf.com, 2008 - 2026