Крупнейшая бесплатная информационно-справочная система онлайн доступа к полному собранию технических нормативно-правовых актов РФ. Огромная база технических нормативов (более 150 тысяч документов) и полное собрание национальных стандартов, аутентичное официальной базе Госстандарта. GOSTRF.com - это более 1 Терабайта бесплатной технической информации для всех пользователей интернета. Все электронные копии представленных здесь документов могут распространяться без каких-либо ограничений. Поощряется распространение информации с этого сайта на любых других ресурсах. Каждый человек имеет право на неограниченный доступ к этим документам! Каждый человек имеет право на знание требований, изложенных в данных нормативно-правовых актах!

  


 

ГОСТ Р 52372-2005

Кабели гибкие и шнуры для подземных и открытых горных работ. Общие технические условия

Обозначение:ГОСТ Р 52372-2005
Текущий статус документа: действующий
Название документа рус.:Кабели гибкие и шнуры для подземных и открытых горных работ. Общие технические условия
Название документа англ.:Flexible cables and cords for underground and open mining operations. General specifications
Дата актуализации текста:01.12.2013
Дата издания:13.10.2005
Дата введения:30.06.2006
Дата последнего изменения:16.10.2013
Дата окончания срока действия:01.01.2014
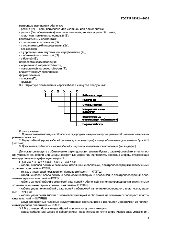
Область применения:Настоящий стандарт распространяется на гибкие кабели и шнуры, используемые в угольных и сланцевых шахтах и при открытых горных разработках:
- кабели силовые гибкие экранированные на номинальное напряжение до 10000 В включительно для экскаваторов и других передвижных механизмов;
- кабели силовые гибкие экранированные и неэкранированные на номинальное напряжение до 3300 В включительно для передвижных машин, механизмов и самоходных вагонов;
- кабели силовые особо гибкие экранированные на номинальное напряжение до 660 В включительно для шахтного бурильного электроинструмента;
- кабели гибкие шахтные на номинальное напряжение до 380 В включительно для цепей дистанционного управления, автоматики и контроля;
- шнуры для шахтных головных аккумуляторных светильников, сигнализаторов метана, переносных светильников местного освещения.
Стандарт не распространяется на шахтные кабели связи.
Стандарт устанавливает параметры, характеристики и свойства кабелей и шнуров, а также требования к их изготовлению, испытаниям и эксплуатации
Список изменений:№0 от 01.01.2014 (рег. 29.11.2012) «Текстовое изменение; Изменено заглавие»
ГОСТ Р 52372-2005ГОСТ Р 52372-2005ГОСТ Р 52372-2005ГОСТ Р 52372-2005ГОСТ Р 52372-2005ГОСТ Р 52372-2005ГОСТ Р 52372-2005ГОСТ Р 52372-2005ГОСТ Р 52372-2005ГОСТ Р 52372-2005ГОСТ Р 52372-2005ГОСТ Р 52372-2005ГОСТ Р 52372-2005ГОСТ Р 52372-2005ГОСТ Р 52372-2005ГОСТ Р 52372-2005ГОСТ Р 52372-2005ГОСТ Р 52372-2005ГОСТ Р 52372-2005
 




ГОСТЫ, СТРОИТЕЛЬНЫЕ и ТЕХНИЧЕСКИЕ НОРМАТИВЫ.
Некоммерческая онлайн система, содержащая все Российские Госты, национальные Стандарты и нормативы.
В Системе содержится более 150000 файлов нормативно-технической документации, действующей на территории РФ.
Система предназначена для широкого круга инженерно-технических специалистов.

Рейтинг@Mail.ru Яндекс цитирования

Copyright © www.gostrf.com, 2008 - 2026