Крупнейшая бесплатная информационно-справочная система онлайн доступа к полному собранию технических нормативно-правовых актов РФ. Огромная база технических нормативов (более 150 тысяч документов) и полное собрание национальных стандартов, аутентичное официальной базе Госстандарта. GOSTRF.com - это более 1 Терабайта бесплатной технической информации для всех пользователей интернета. Все электронные копии представленных здесь документов могут распространяться без каких-либо ограничений. Поощряется распространение информации с этого сайта на любых других ресурсах. Каждый человек имеет право на неограниченный доступ к этим документам! Каждый человек имеет право на знание требований, изложенных в данных нормативно-правовых актах!

  


 

ГОСТ 2991-85

Ящики дощатые неразборные для грузов массой до 500 кг. Общие технические условия

Обозначение:ГОСТ 2991-85
Текущий статус документа: действующий
Название документа рус.:Ящики дощатые неразборные для грузов массой до 500 кг. Общие технические условия
Название документа англ.:Wooden uncollapsible cases for weights up to 500 kg. General specifications
Дата актуализации текста:01.12.2013
Дата издания:01.07.2008
Дата введения:01.01.1987
Дата последнего изменения:22.05.2013
Переиздание:переиздание с изм. 1
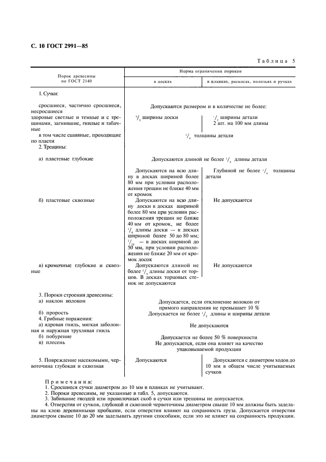
Область применения:Настоящий стандарт распространяется на дощатые неразборные плотные и решетчатые ящики с суммой просветов в каждой стенке до 50 % включительно для грузов массой до 500 кг, предназначенные для упаковывания, хранения и транспортирования конкретных видов продукции.
Стандарт не распространяется на многооборотные ящики, проволокоармированные ящики, ящики для грузов специального назначения, а также на деревянные футляры
Список изменений:№1 от 01.05.1988 (рег. 10.12.1987) «Срок действия продлен»
№2 от 01.11.1991 (рег. 24.04.1991) «Срок действия продлен»
ГОСТ 2991-85ГОСТ 2991-85ГОСТ 2991-85ГОСТ 2991-85ГОСТ 2991-85ГОСТ 2991-85ГОСТ 2991-85ГОСТ 2991-85ГОСТ 2991-85ГОСТ 2991-85ГОСТ 2991-85ГОСТ 2991-85ГОСТ 2991-85ГОСТ 2991-85ГОСТ 2991-85ГОСТ 2991-85ГОСТ 2991-85ГОСТ 2991-85ГОСТ 2991-85
 




ГОСТЫ, СТРОИТЕЛЬНЫЕ и ТЕХНИЧЕСКИЕ НОРМАТИВЫ.
Некоммерческая онлайн система, содержащая все Российские Госты, национальные Стандарты и нормативы.
В Системе содержится более 150000 файлов нормативно-технической документации, действующей на территории РФ.
Система предназначена для широкого круга инженерно-технических специалистов.

Рейтинг@Mail.ru Яндекс цитирования

Copyright © www.gostrf.com, 2008 - 2026