Крупнейшая бесплатная информационно-справочная система онлайн доступа к полному собранию технических нормативно-правовых актов РФ. Огромная база технических нормативов (более 150 тысяч документов) и полное собрание национальных стандартов, аутентичное официальной базе Госстандарта. GOSTRF.com - это более 1 Терабайта бесплатной технической информации для всех пользователей интернета. Все электронные копии представленных здесь документов могут распространяться без каких-либо ограничений. Поощряется распространение информации с этого сайта на любых других ресурсах. Каждый человек имеет право на неограниченный доступ к этим документам! Каждый человек имеет право на знание требований, изложенных в данных нормативно-правовых актах!

  


 

ГОСТ 19804.2-79

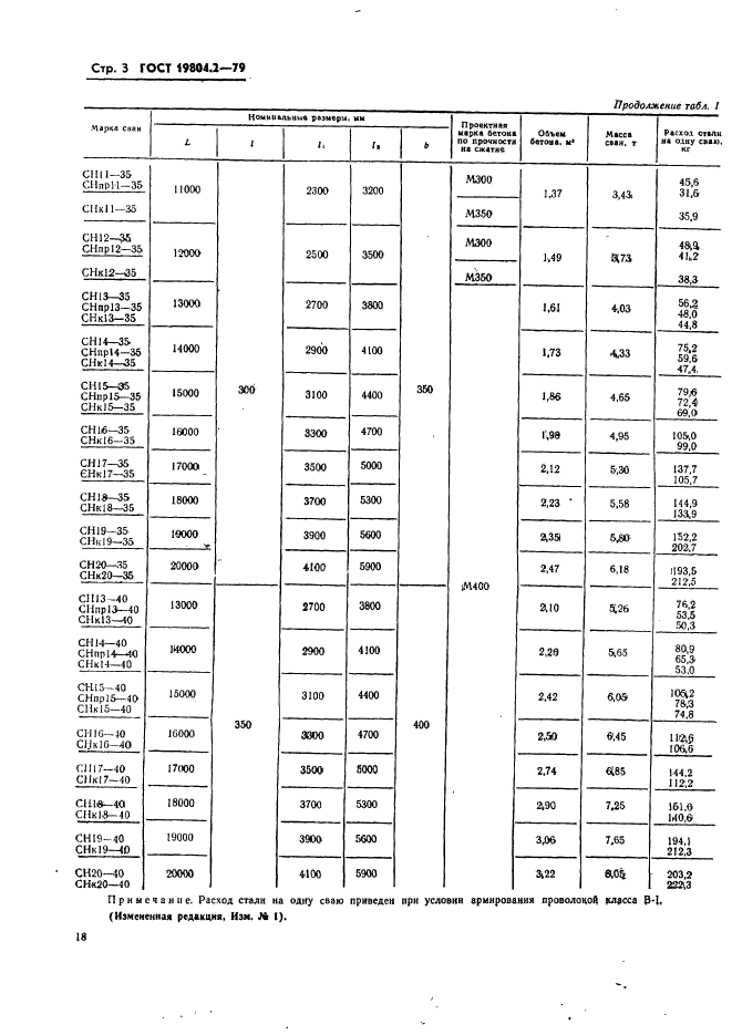
Сваи забивные железобетонные цельные сплошного квадратного сечения с поперечным армированием ствола с напрягаемой арматурой. Конструкция и размеры

Обозначение:ГОСТ 19804.2-79
Текущий статус документа: действующий
Название документа рус.:Сваи забивные железобетонные цельные сплошного квадратного сечения с поперечным армированием ствола с напрягаемой арматурой. Конструкция и размеры
Название документа англ.:Prestressed reinforced-concrete driven square piles. Structure and dimensions
Дата актуализации текста:01.12.2013
Дата издания:01.09.1983
Дата введения:01.01.1981
Дата последнего изменения:20.06.2013
Дата окончания срока действия:01.01.2014
Переиздание:переиздание с изм. 1
Область применения:Настоящий стандарт распространяется на забивные железобетонные цельные сваи сплошного квадратного сечения с поперечным армированием ствола с напрягаемой арматурой и устанавливает конструкцию свай и арматурных изделий к ним
Список изменений:№1 от 01.01.1984 (рег. 27.06.1983) «Срок действия продлен»
ГОСТ 19804.2-79ГОСТ 19804.2-79ГОСТ 19804.2-79ГОСТ 19804.2-79ГОСТ 19804.2-79ГОСТ 19804.2-79ГОСТ 19804.2-79ГОСТ 19804.2-79ГОСТ 19804.2-79ГОСТ 19804.2-79ГОСТ 19804.2-79ГОСТ 19804.2-79ГОСТ 19804.2-79ГОСТ 19804.2-79ГОСТ 19804.2-79ГОСТ 19804.2-79ГОСТ 19804.2-79ГОСТ 19804.2-79ГОСТ 19804.2-79ГОСТ 19804.2-79ГОСТ 19804.2-79
 




ГОСТЫ, СТРОИТЕЛЬНЫЕ и ТЕХНИЧЕСКИЕ НОРМАТИВЫ.
Некоммерческая онлайн система, содержащая все Российские Госты, национальные Стандарты и нормативы.
В Системе содержится более 150000 файлов нормативно-технической документации, действующей на территории РФ.
Система предназначена для широкого круга инженерно-технических специалистов.

Рейтинг@Mail.ru Яндекс цитирования

Copyright © www.gostrf.com, 2008 - 2026