Крупнейшая бесплатная информационно-справочная система онлайн доступа к полному собранию технических нормативно-правовых актов РФ. Огромная база технических нормативов (более 150 тысяч документов) и полное собрание национальных стандартов, аутентичное официальной базе Госстандарта. GOSTRF.com - это более 1 Терабайта бесплатной технической информации для всех пользователей интернета. Все электронные копии представленных здесь документов могут распространяться без каких-либо ограничений. Поощряется распространение информации с этого сайта на любых других ресурсах. Каждый человек имеет право на неограниченный доступ к этим документам! Каждый человек имеет право на знание требований, изложенных в данных нормативно-правовых актах!

  


 

ГОСТ 2.855-75

Горная графическая документация. Обозначения условные горных выработок

Обозначение:ГОСТ 2.855-75
Текущий статус документа: действующий
Название документа рус.:Горная графическая документация. Обозначения условные горных выработок
Название документа англ.:Rock graphic documentation. Symbols for underground working
Дата актуализации текста:01.12.2013
Дата издания:01.09.2002
Дата введения:01.01.1980
Дата последнего изменения:22.05.2013
Переиздание:переиздание
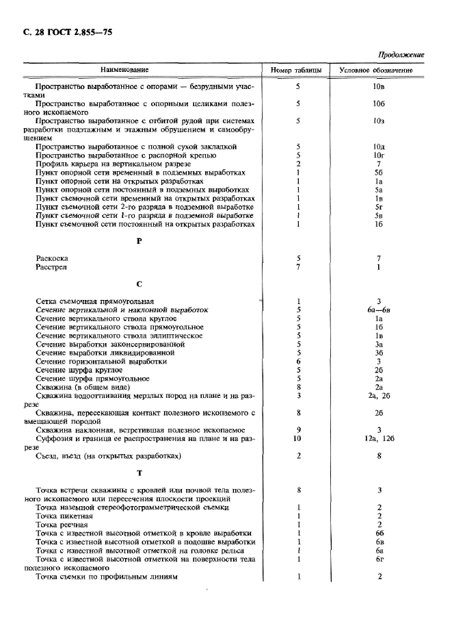
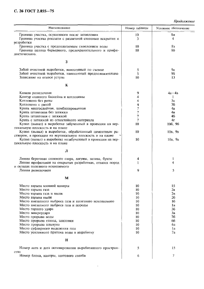
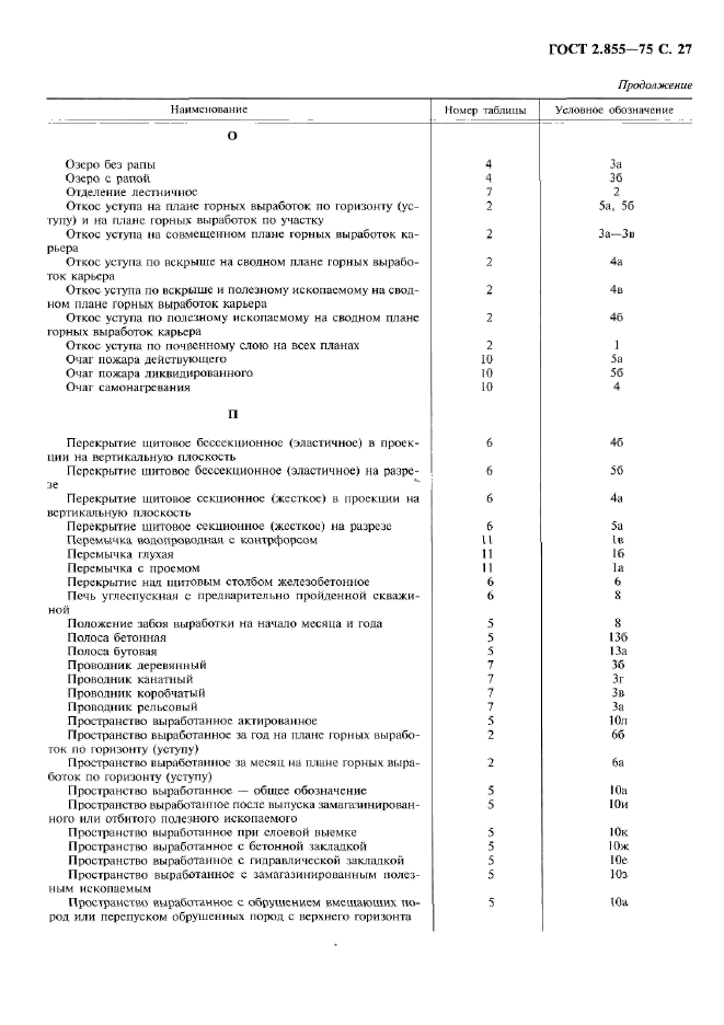
Область применения:Настоящий стандарт устанавливает условные графические обозначения горных выработок при открытом и подземном способах разработки, очагов опасности и предохранительных сооружений в горных выработках, границ безопасного ведения горных работ, пунктов опорных и съемочных сетей в горных выработках.
Стандарт не распространяется на планы земной поверхности горных предприятий, выполняемые по техническим требованиям ГУГК
Список изменений:№0 от 01.01.1980 (рег. 24.01.1979) «Утратил силу в РФ»
ГОСТ 2.855-75ГОСТ 2.855-75ГОСТ 2.855-75ГОСТ 2.855-75ГОСТ 2.855-75ГОСТ 2.855-75ГОСТ 2.855-75ГОСТ 2.855-75ГОСТ 2.855-75ГОСТ 2.855-75ГОСТ 2.855-75ГОСТ 2.855-75ГОСТ 2.855-75ГОСТ 2.855-75ГОСТ 2.855-75ГОСТ 2.855-75ГОСТ 2.855-75ГОСТ 2.855-75ГОСТ 2.855-75ГОСТ 2.855-75ГОСТ 2.855-75ГОСТ 2.855-75ГОСТ 2.855-75ГОСТ 2.855-75ГОСТ 2.855-75ГОСТ 2.855-75ГОСТ 2.855-75ГОСТ 2.855-75ГОСТ 2.855-75ГОСТ 2.855-75ГОСТ 2.855-75
 




ГОСТЫ, СТРОИТЕЛЬНЫЕ и ТЕХНИЧЕСКИЕ НОРМАТИВЫ.
Некоммерческая онлайн система, содержащая все Российские Госты, национальные Стандарты и нормативы.
В Системе содержится более 150000 файлов нормативно-технической документации, действующей на территории РФ.
Система предназначена для широкого круга инженерно-технических специалистов.

Рейтинг@Mail.ru Яндекс цитирования

Copyright © www.gostrf.com, 2008 - 2026