Крупнейшая бесплатная информационно-справочная система онлайн доступа к полному собранию технических нормативно-правовых актов РФ. Огромная база технических нормативов (более 150 тысяч документов) и полное собрание национальных стандартов, аутентичное официальной базе Госстандарта. GOSTRF.com - это более 1 Терабайта бесплатной технической информации для всех пользователей интернета. Все электронные копии представленных здесь документов могут распространяться без каких-либо ограничений. Поощряется распространение информации с этого сайта на любых других ресурсах. Каждый человек имеет право на неограниченный доступ к этим документам! Каждый человек имеет право на знание требований, изложенных в данных нормативно-правовых актах!

  


 

ГОСТ 19547-74

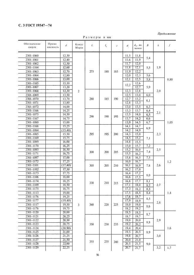
Сверла спиральные удлиненные с коническим хвостовиком для обработки легких сплавов. Конструкция

Обозначение:ГОСТ 19547-74
Текущий статус документа: действующий
Название документа рус.:Сверла спиральные удлиненные с коническим хвостовиком для обработки легких сплавов. Конструкция
Название документа англ.:Lengthened twist drills with taper shank for working of light alloys. Design
Дата актуализации текста:01.12.2013
Дата издания:01.08.2003
Дата введения:01.01.1976
Дата последнего изменения:22.05.2013
Переиздание:переиздание с изм. 1
Взамен:МН 69-65
Область применения:Настоящий стандарт распространяется на удлиненные спиральные сверла диаметром от 6 до 30 мм класса точности В, предназначенные для сверления отверстий в легких сплавах
Список изменений:№1 от 01.03.1979 (рег. 27.10.1978) «Срок действия продлен»
№2 от 01.11.1988 (рег. 30.05.1988) «Поправка»
ГОСТ 19547-74ГОСТ 19547-74ГОСТ 19547-74ГОСТ 19547-74ГОСТ 19547-74
 




ГОСТЫ, СТРОИТЕЛЬНЫЕ и ТЕХНИЧЕСКИЕ НОРМАТИВЫ.
Некоммерческая онлайн система, содержащая все Российские Госты, национальные Стандарты и нормативы.
В Системе содержится более 150000 файлов нормативно-технической документации, действующей на территории РФ.
Система предназначена для широкого круга инженерно-технических специалистов.

Рейтинг@Mail.ru Яндекс цитирования

Copyright © www.gostrf.com, 2008 - 2026