Крупнейшая бесплатная информационно-справочная система онлайн доступа к полному собранию технических нормативно-правовых актов РФ. Огромная база технических нормативов (более 150 тысяч документов) и полное собрание национальных стандартов, аутентичное официальной базе Госстандарта. GOSTRF.com - это более 1 Терабайта бесплатной технической информации для всех пользователей интернета. Все электронные копии представленных здесь документов могут распространяться без каких-либо ограничений. Поощряется распространение информации с этого сайта на любых других ресурсах. Каждый человек имеет право на неограниченный доступ к этим документам! Каждый человек имеет право на знание требований, изложенных в данных нормативно-правовых актах!

  


 

ГОСТ 18356-73

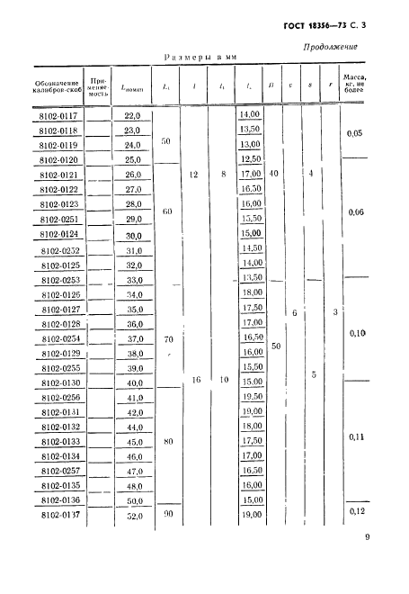
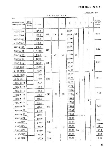
Калибры-скобы двусторонние для длин свыше 10 до 360 мм. Конструкция и размеры

Обозначение:ГОСТ 18356-73
Текущий статус документа: действующий
Название документа рус.:Калибры-скобы двусторонние для длин свыше 10 до 360 мм. Конструкция и размеры
Название документа англ.:Plain double-ended snap gauges for lenght over 10 to 360 mm. Design and dimensions
Дата актуализации текста:01.12.2013
Дата издания:01.08.1988
Дата введения:01.01.1974
Дата последнего изменения:22.05.2013
Переиздание:переиздание с изм. 1
Взамен:МН 249-64
Область применения:Настоящий стандарт распространяется на двусторонние калибры-скобы для контроля длин до 260 мм с полями допусков по ЕСДП 6-го и более грубых квалитетов, свыше 260 мм - 9-го и более грубых квалитетов, а также для контроля длин до 260 мм с полями допусков по системе ОСТ 2-го и более грубых классов точности, свыше 260 мм - 3-го и более грубых классов точности
Список изменений:№1 от 01.07.1985 (рег. 05.03.1985) «Срок действия продлен»
ГОСТ 18356-73ГОСТ 18356-73ГОСТ 18356-73ГОСТ 18356-73ГОСТ 18356-73ГОСТ 18356-73
 




ГОСТЫ, СТРОИТЕЛЬНЫЕ и ТЕХНИЧЕСКИЕ НОРМАТИВЫ.
Некоммерческая онлайн система, содержащая все Российские Госты, национальные Стандарты и нормативы.
В Системе содержится более 150000 файлов нормативно-технической документации, действующей на территории РФ.
Система предназначена для широкого круга инженерно-технических специалистов.

Рейтинг@Mail.ru Яндекс цитирования

Copyright © www.gostrf.com, 2008 - 2026