Крупнейшая бесплатная информационно-справочная система онлайн доступа к полному собранию технических нормативно-правовых актов РФ. Огромная база технических нормативов (более 150 тысяч документов) и полное собрание национальных стандартов, аутентичное официальной базе Госстандарта. GOSTRF.com - это более 1 Терабайта бесплатной технической информации для всех пользователей интернета. Все электронные копии представленных здесь документов могут распространяться без каких-либо ограничений. Поощряется распространение информации с этого сайта на любых других ресурсах. Каждый человек имеет право на неограниченный доступ к этим документам! Каждый человек имеет право на знание требований, изложенных в данных нормативно-правовых актах!

  


 

ГОСТ 19268-73

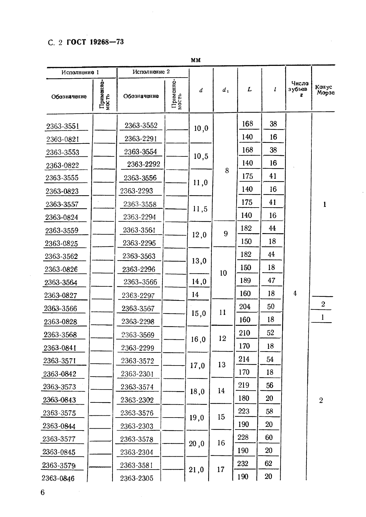
Развертки машинные цилиндрические с коническим хвостовиком для обработки деталей из легких сплавов. Конструкция и размеры

Обозначение:ГОСТ 19268-73
Текущий статус документа: действующий
Название документа рус.:Развертки машинные цилиндрические с коническим хвостовиком для обработки деталей из легких сплавов. Конструкция и размеры
Название документа англ.:Straight machine reamers with tapered shank for working parts of light alloys. Design and dimensions
Дата актуализации текста:01.12.2013
Дата издания:01.05.1991
Дата введения:01.01.1975
Дата последнего изменения:22.05.2013
Переиздание:переиздание с изм. 1
Взамен:МН 83-59 МН 84-59 МН 85-59
Область применения:Настоящий стандарт распространяется на цилиндрические машинные развертки с коническим хвостовиком для обработки отверстий без кондукторных втулок в деталях из легких сплавов с полями допусков Н7, К7, Н8, Н9, Н10, Н11 и на развертки с припуском под доводку № 1, 2, 3, 4, 5, 6
Список изменений:№0 от 01.01.1983 (рег. 16.02.1982) «Срок действия продлен»
№1 от 01.03.1977 (рег. 28.02.1977) «Срок действия продлен»
№2 от 01.01.1983 (рег. 16.02.1982) «Срок действия продлен»
ГОСТ 19268-73ГОСТ 19268-73ГОСТ 19268-73ГОСТ 19268-73ГОСТ 19268-73ГОСТ 19268-73ГОСТ 19268-73ГОСТ 19268-73
 




ГОСТЫ, СТРОИТЕЛЬНЫЕ и ТЕХНИЧЕСКИЕ НОРМАТИВЫ.
Некоммерческая онлайн система, содержащая все Российские Госты, национальные Стандарты и нормативы.
В Системе содержится более 150000 файлов нормативно-технической документации, действующей на территории РФ.
Система предназначена для широкого круга инженерно-технических специалистов.

Рейтинг@Mail.ru Яндекс цитирования

Copyright © www.gostrf.com, 2008 - 2026