Крупнейшая бесплатная информационно-справочная система онлайн доступа к полному собранию технических нормативно-правовых актов РФ. Огромная база технических нормативов (более 150 тысяч документов) и полное собрание национальных стандартов, аутентичное официальной базе Госстандарта. GOSTRF.com - это более 1 Терабайта бесплатной технической информации для всех пользователей интернета. Все электронные копии представленных здесь документов могут распространяться без каких-либо ограничений. Поощряется распространение информации с этого сайта на любых других ресурсах. Каждый человек имеет право на неограниченный доступ к этим документам! Каждый человек имеет право на знание требований, изложенных в данных нормативно-правовых актах!

  


 

ГОСТ 9539-72

Ролики резьбонакатные. Технические условия

Обозначение:ГОСТ 9539-72
Текущий статус документа: действующий
Название документа рус.:Ролики резьбонакатные. Технические условия
Название документа англ.:Thread rolls. Specifications
Дата актуализации текста:01.12.2013
Дата издания:01.11.1993
Дата введения:01.01.1974
Дата последнего изменения:22.05.2013
Переиздание:переиздание с изм. 1
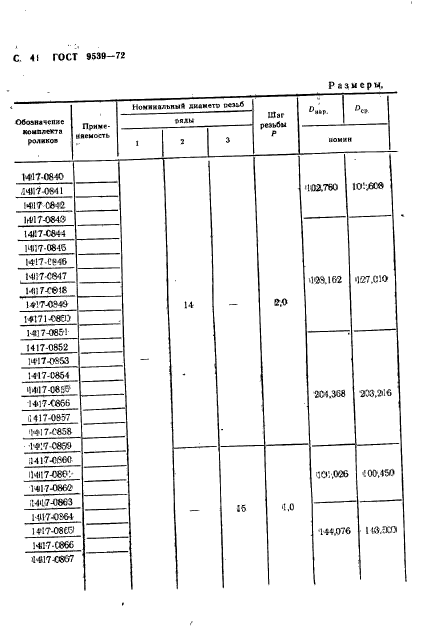
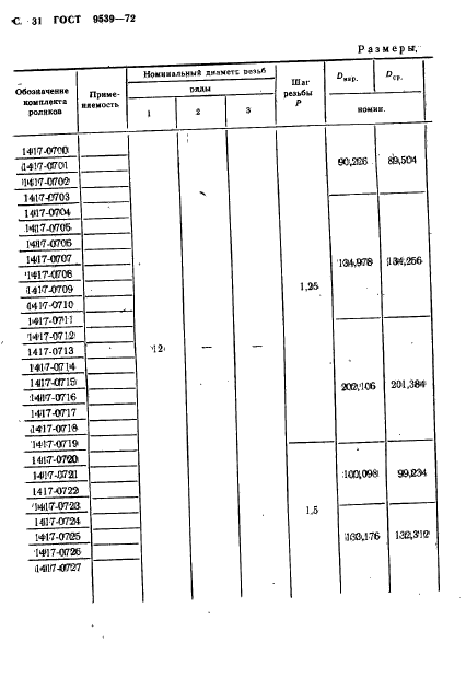
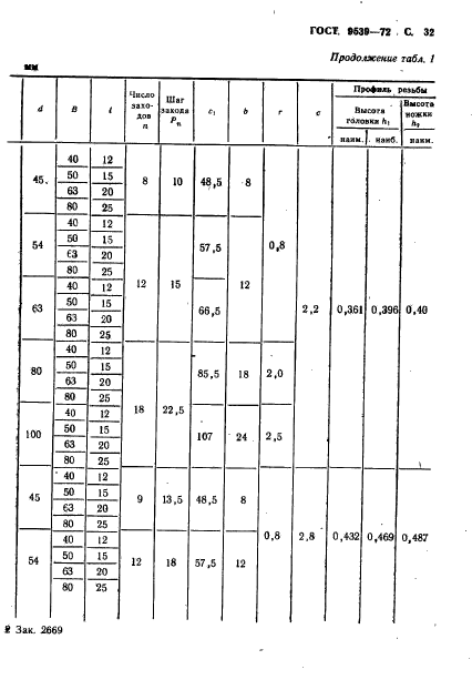
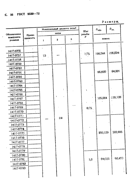
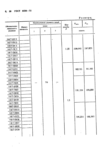
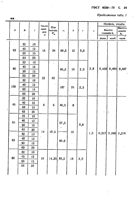
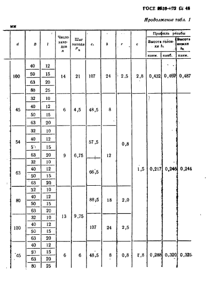
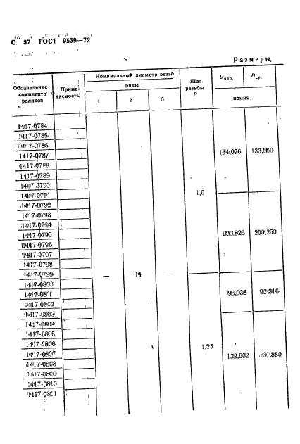
Область применения:Настоящий стандарт распространяется на резьбонакатные ролики классов точности 1, 2 и 3 в комплекте из 2-х шт., предназначенные для изготовления резьб диаметром от 3 до 68 мм с шагом от 0,5 до 6,0 мм
Список изменений:№1 от 01.11.1980 (рег. 16.05.1980) «Срок действия продлен»
№2 от 01.05.1987 (рег. 09.12.1986) «Срок действия продлен»
№3 от 01.01.1990 (рег. 30.03.1989) «Срок действия продлен»
№4 от 01.09.1991 (рег. 13.03.1991) «Срок действия продлен»
ГОСТ 9539-72ГОСТ 9539-72ГОСТ 9539-72ГОСТ 9539-72ГОСТ 9539-72ГОСТ 9539-72ГОСТ 9539-72ГОСТ 9539-72ГОСТ 9539-72ГОСТ 9539-72ГОСТ 9539-72ГОСТ 9539-72ГОСТ 9539-72ГОСТ 9539-72ГОСТ 9539-72ГОСТ 9539-72ГОСТ 9539-72ГОСТ 9539-72ГОСТ 9539-72ГОСТ 9539-72ГОСТ 9539-72ГОСТ 9539-72ГОСТ 9539-72ГОСТ 9539-72ГОСТ 9539-72ГОСТ 9539-72ГОСТ 9539-72ГОСТ 9539-72ГОСТ 9539-72ГОСТ 9539-72ГОСТ 9539-72ГОСТ 9539-72ГОСТ 9539-72ГОСТ 9539-72ГОСТ 9539-72ГОСТ 9539-72ГОСТ 9539-72ГОСТ 9539-72ГОСТ 9539-72ГОСТ 9539-72ГОСТ 9539-72ГОСТ 9539-72ГОСТ 9539-72ГОСТ 9539-72ГОСТ 9539-72ГОСТ 9539-72ГОСТ 9539-72ГОСТ 9539-72ГОСТ 9539-72ГОСТ 9539-72ГОСТ 9539-72ГОСТ 9539-72ГОСТ 9539-72ГОСТ 9539-72ГОСТ 9539-72ГОСТ 9539-72ГОСТ 9539-72ГОСТ 9539-72ГОСТ 9539-72ГОСТ 9539-72ГОСТ 9539-72ГОСТ 9539-72ГОСТ 9539-72ГОСТ 9539-72ГОСТ 9539-72ГОСТ 9539-72ГОСТ 9539-72ГОСТ 9539-72ГОСТ 9539-72ГОСТ 9539-72ГОСТ 9539-72ГОСТ 9539-72ГОСТ 9539-72ГОСТ 9539-72ГОСТ 9539-72ГОСТ 9539-72ГОСТ 9539-72ГОСТ 9539-72ГОСТ 9539-72ГОСТ 9539-72ГОСТ 9539-72ГОСТ 9539-72ГОСТ 9539-72ГОСТ 9539-72ГОСТ 9539-72ГОСТ 9539-72ГОСТ 9539-72ГОСТ 9539-72ГОСТ 9539-72ГОСТ 9539-72ГОСТ 9539-72ГОСТ 9539-72ГОСТ 9539-72ГОСТ 9539-72ГОСТ 9539-72ГОСТ 9539-72ГОСТ 9539-72ГОСТ 9539-72ГОСТ 9539-72ГОСТ 9539-72ГОСТ 9539-72ГОСТ 9539-72ГОСТ 9539-72ГОСТ 9539-72ГОСТ 9539-72ГОСТ 9539-72ГОСТ 9539-72ГОСТ 9539-72ГОСТ 9539-72ГОСТ 9539-72ГОСТ 9539-72ГОСТ 9539-72ГОСТ 9539-72ГОСТ 9539-72ГОСТ 9539-72ГОСТ 9539-72ГОСТ 9539-72ГОСТ 9539-72ГОСТ 9539-72ГОСТ 9539-72ГОСТ 9539-72ГОСТ 9539-72ГОСТ 9539-72ГОСТ 9539-72ГОСТ 9539-72ГОСТ 9539-72ГОСТ 9539-72ГОСТ 9539-72ГОСТ 9539-72ГОСТ 9539-72ГОСТ 9539-72ГОСТ 9539-72ГОСТ 9539-72ГОСТ 9539-72ГОСТ 9539-72ГОСТ 9539-72ГОСТ 9539-72ГОСТ 9539-72ГОСТ 9539-72ГОСТ 9539-72
 




ГОСТЫ, СТРОИТЕЛЬНЫЕ и ТЕХНИЧЕСКИЕ НОРМАТИВЫ.
Некоммерческая онлайн система, содержащая все Российские Госты, национальные Стандарты и нормативы.
В Системе содержится более 150000 файлов нормативно-технической документации, действующей на территории РФ.
Система предназначена для широкого круга инженерно-технических специалистов.

Рейтинг@Mail.ru Яндекс цитирования

Copyright © www.gostrf.com, 2008 - 2026