Крупнейшая бесплатная информационно-справочная система онлайн доступа к полному собранию технических нормативно-правовых актов РФ. Огромная база технических нормативов (более 150 тысяч документов) и полное собрание национальных стандартов, аутентичное официальной базе Госстандарта. GOSTRF.com - это более 1 Терабайта бесплатной технической информации для всех пользователей интернета. Все электронные копии представленных здесь документов могут распространяться без каких-либо ограничений. Поощряется распространение информации с этого сайта на любых других ресурсах. Каждый человек имеет право на неограниченный доступ к этим документам! Каждый человек имеет право на знание требований, изложенных в данных нормативно-правовых актах!

  


 

ГОСТ 18224-72

Консервы. Вторые обеденные блюда. Технические условия

Обозначение:ГОСТ 18224-72
Текущий статус документа: действующий
Название документа рус.:Консервы. Вторые обеденные блюда. Технические условия
Название документа англ.:Canned foods. Second course dinner dishes Specifications
Дата актуализации текста:01.12.2013
Дата издания:01.11.2007
Дата введения:01.01.1974
Дата последнего изменения:22.05.2013
Переиздание:переиздание с изм. 1
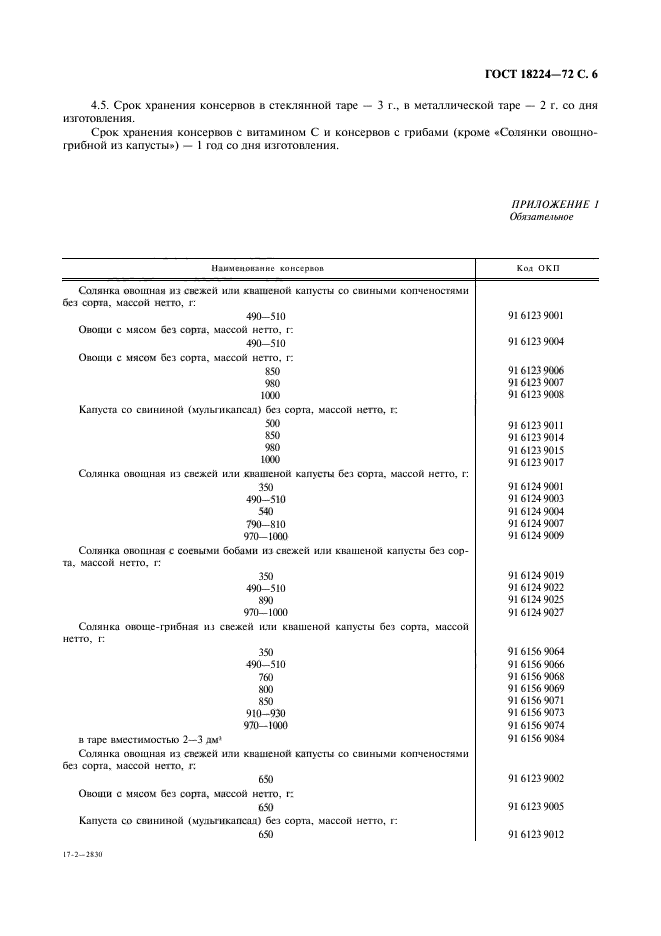
Область применения:Настоящий стандарт распространяется на консервы, приготовленные из свежих, соленых или квашеных овощей со свиным жиром или растительным маслом, с добавлением или без добавления копченостей, мяса, грибов, бобовых, картофеля, крупы, томатной пасты, соли, сахара, аскорбиновой кислоты и пряностей, фасованные в герметически укупоренную тару и стерилизованные
Список изменений:№1 от 01.10.1982 (рег. 27.04.1982) «Срок действия продлен»
№2 от 01.02.1984 (рег. 25.08.1983) «Срок действия продлен»
№3 от 01.01.1989 (рег. 20.06.1988) «Поправка»
№4 от 01.01.1991 (рег. 27.07.1990) «Поправка»
ГОСТ 18224-72ГОСТ 18224-72ГОСТ 18224-72ГОСТ 18224-72ГОСТ 18224-72ГОСТ 18224-72ГОСТ 18224-72ГОСТ 18224-72ГОСТ 18224-72ГОСТ 18224-72
 




ГОСТЫ, СТРОИТЕЛЬНЫЕ и ТЕХНИЧЕСКИЕ НОРМАТИВЫ.
Некоммерческая онлайн система, содержащая все Российские Госты, национальные Стандарты и нормативы.
В Системе содержится более 150000 файлов нормативно-технической документации, действующей на территории РФ.
Система предназначена для широкого круга инженерно-технических специалистов.

Рейтинг@Mail.ru Яндекс цитирования

Copyright © www.gostrf.com, 2008 - 2026