Крупнейшая бесплатная информационно-справочная система онлайн доступа к полному собранию технических нормативно-правовых актов РФ. Огромная база технических нормативов (более 150 тысяч документов) и полное собрание национальных стандартов, аутентичное официальной базе Госстандарта. GOSTRF.com - это более 1 Терабайта бесплатной технической информации для всех пользователей интернета. Все электронные копии представленных здесь документов могут распространяться без каких-либо ограничений. Поощряется распространение информации с этого сайта на любых других ресурсах. Каждый человек имеет право на неограниченный доступ к этим документам! Каждый человек имеет право на знание требований, изложенных в данных нормативно-правовых актах!

  


 

ГОСТ 17764-72

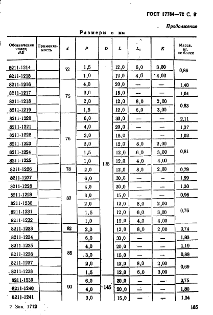
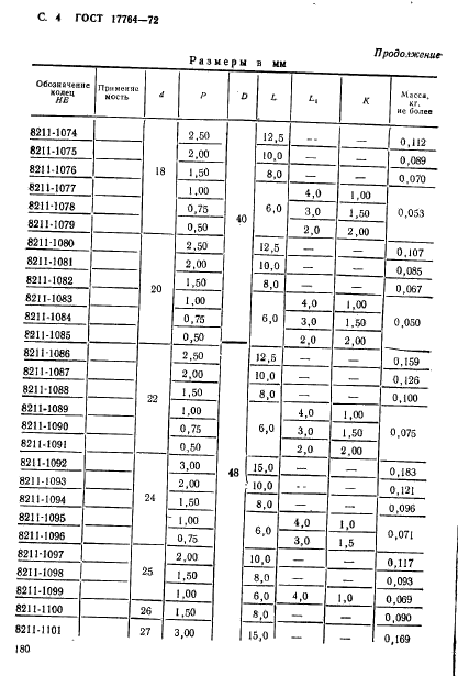
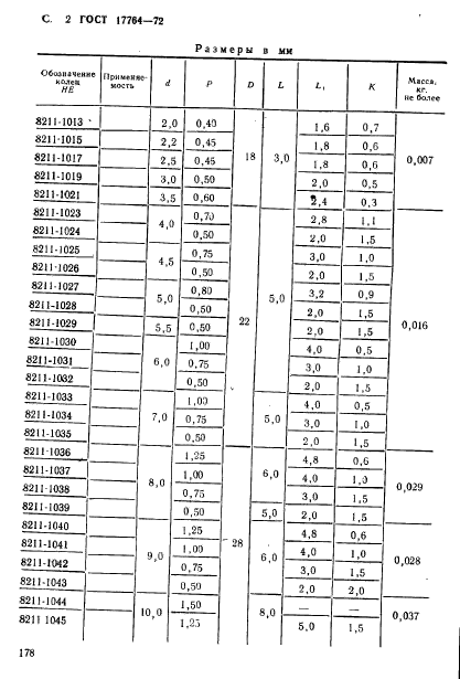
Кольца резьбовые с укороченным профилем резьбы диаметром от 2 до 100 мм. Конструкция и основные размеры

Обозначение:ГОСТ 17764-72
Текущий статус документа: действующий
Название документа рус.:Кольца резьбовые с укороченным профилем резьбы диаметром от 2 до 100 мм. Конструкция и основные размеры
Название документа англ.:Threaded ring-gauges with incomplete form of thread of diameters from 2 to 100 mm. Design and basic dimensions
Дата актуализации текста:01.12.2013
Дата издания:01.03.1990
Дата введения:30.06.1973
Дата последнего изменения:22.05.2013
Переиздание:переиздание с изм. 1
Взамен:МН 573-62
Область применения:Настоящий стандарт распространяется на калибры резьбовые для контроля метрической резьбы
Список изменений:№1 от 01.11.1974 (рег. 19.09.1974) «Срок действия продлен»
№2 от 01.04.1984 (рег. 09.11.1983) «Срок действия продлен»
№3 от 01.03.1990 (рег. 28.07.1989) «Срок действия продлен»
ГОСТ 17764-72ГОСТ 17764-72ГОСТ 17764-72ГОСТ 17764-72ГОСТ 17764-72ГОСТ 17764-72ГОСТ 17764-72ГОСТ 17764-72ГОСТ 17764-72ГОСТ 17764-72ГОСТ 17764-72
 




ГОСТЫ, СТРОИТЕЛЬНЫЕ и ТЕХНИЧЕСКИЕ НОРМАТИВЫ.
Некоммерческая онлайн система, содержащая все Российские Госты, национальные Стандарты и нормативы.
В Системе содержится более 150000 файлов нормативно-технической документации, действующей на территории РФ.
Система предназначена для широкого круга инженерно-технических специалистов.

Рейтинг@Mail.ru Яндекс цитирования

Copyright © www.gostrf.com, 2008 - 2026