Крупнейшая бесплатная информационно-справочная система онлайн доступа к полному собранию технических нормативно-правовых актов РФ. Огромная база технических нормативов (более 150 тысяч документов) и полное собрание национальных стандартов, аутентичное официальной базе Госстандарта. GOSTRF.com - это более 1 Терабайта бесплатной технической информации для всех пользователей интернета. Все электронные копии представленных здесь документов могут распространяться без каких-либо ограничений. Поощряется распространение информации с этого сайта на любых других ресурсах. Каждый человек имеет право на неограниченный доступ к этим документам! Каждый человек имеет право на знание требований, изложенных в данных нормативно-правовых актах!

  


 

ГОСТ 17039-71

Метчики. Исполнительные размеры

Обозначение:ГОСТ 17039-71
Текущий статус документа: действующий
Название документа рус.:Метчики. Исполнительные размеры
Название документа англ.:Taps. Required dimensions
Дата актуализации текста:01.12.2013
Дата издания:01.04.1992
Дата введения:30.06.1973
Дата последнего изменения:22.05.2013
Переиздание:переиздание с изм. 3
Взамен:МН 3628-62 МН 2167-61 МН 2168-61 МН 2169-61 МН 2170-61 МН 2171-61 МН 2172-61
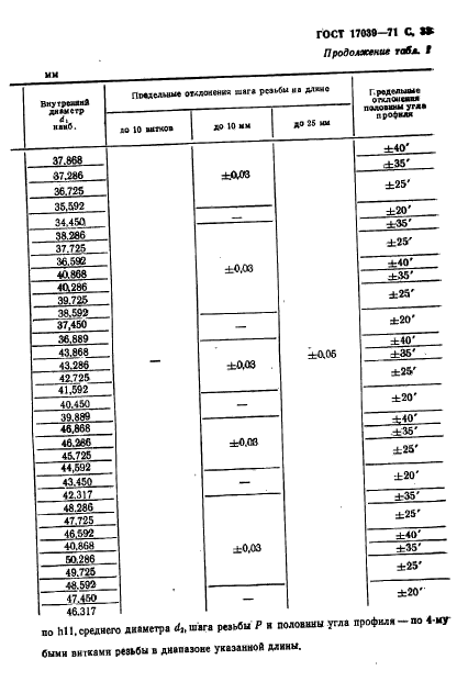
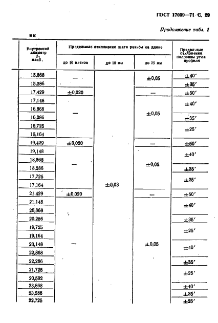
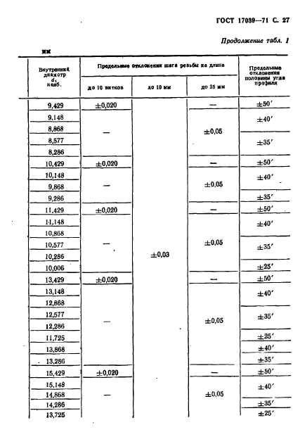
Область применения:Настоящий стандарт распространяется на метчики, предназначенные для нарезания резьбы метрической по ГОСТ 24705-81, дюймовой по ОСТ НКТП 1260 и трубной цилиндрической по ГОСТ 6357-81
Список изменений:№3 от 01.10.1976 (рег. 18.08.1976) «Срок действия продлен»
№4 от 01.06.1981 (рег. 07.04.1981) «Срок действия продлен»
№5 от 01.05.1990 (рег. 15.09.1989) «Срок действия продлен»
ГОСТ 17039-71ГОСТ 17039-71ГОСТ 17039-71ГОСТ 17039-71ГОСТ 17039-71ГОСТ 17039-71ГОСТ 17039-71ГОСТ 17039-71ГОСТ 17039-71ГОСТ 17039-71ГОСТ 17039-71ГОСТ 17039-71ГОСТ 17039-71ГОСТ 17039-71ГОСТ 17039-71ГОСТ 17039-71ГОСТ 17039-71ГОСТ 17039-71ГОСТ 17039-71ГОСТ 17039-71ГОСТ 17039-71ГОСТ 17039-71ГОСТ 17039-71ГОСТ 17039-71ГОСТ 17039-71ГОСТ 17039-71ГОСТ 17039-71ГОСТ 17039-71ГОСТ 17039-71ГОСТ 17039-71ГОСТ 17039-71ГОСТ 17039-71ГОСТ 17039-71ГОСТ 17039-71ГОСТ 17039-71ГОСТ 17039-71ГОСТ 17039-71ГОСТ 17039-71ГОСТ 17039-71ГОСТ 17039-71ГОСТ 17039-71ГОСТ 17039-71ГОСТ 17039-71ГОСТ 17039-71
 




ГОСТЫ, СТРОИТЕЛЬНЫЕ и ТЕХНИЧЕСКИЕ НОРМАТИВЫ.
Некоммерческая онлайн система, содержащая все Российские Госты, национальные Стандарты и нормативы.
В Системе содержится более 150000 файлов нормативно-технической документации, действующей на территории РФ.
Система предназначена для широкого круга инженерно-технических специалистов.

Рейтинг@Mail.ru Яндекс цитирования

Copyright © www.gostrf.com, 2008 - 2026