Крупнейшая бесплатная информационно-справочная система онлайн доступа к полному собранию технических нормативно-правовых актов РФ. Огромная база технических нормативов (более 150 тысяч документов) и полное собрание национальных стандартов, аутентичное официальной базе Госстандарта. GOSTRF.com - это более 1 Терабайта бесплатной технической информации для всех пользователей интернета. Все электронные копии представленных здесь документов могут распространяться без каких-либо ограничений. Поощряется распространение информации с этого сайта на любых других ресурсах. Каждый человек имеет право на неограниченный доступ к этим документам! Каждый человек имеет право на знание требований, изложенных в данных нормативно-правовых актах!

  


 

ГОСТ 16078-70

Соединения трубопроводов по внутреннему конусу. Технические требования

Обозначение:ГОСТ 16078-70
Текущий статус документа: действующий
Название документа рус.:Соединения трубопроводов по внутреннему конусу. Технические требования
Название документа англ.:Tube connections on internal cone. Technical requirements
Дата актуализации текста:01.12.2013
Дата издания:01.06.1987
Дата введения:01.01.1971
Дата последнего изменения:22.05.2013
Переиздание:переиздание с изм. 1
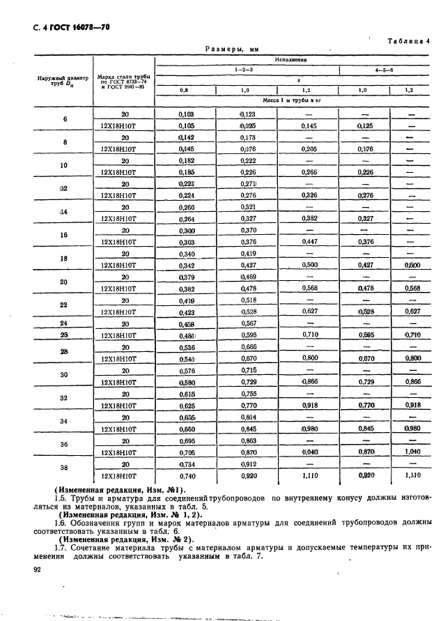
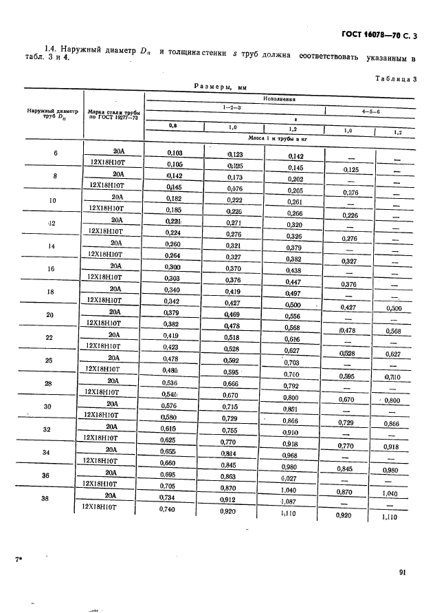
Область применения:Настоящий стандарт распространяется на соединения трубопроводов по внутреннему конусу, используемые в различных жидкостных и газовых средах, в том числе и агрессивных, для работы при температуре от минус 60 до плюс 500 град. С и давлениях до 650 кгс/см кв. (65 МПа) - в зависимости от применяемых материалов, сортамента труб и вида соединения.
Соединения трубопроводов по внутреннему конусу применяются на изделиях с поршневыми, газотурбинными и ракетными двигателями, а также в системах наземного оборудования, обслуживающих эти изделия
Список изменений:№1 от 01.07.1981 (рег. 29.12.1980) «Срок действия продлен»
№2 от 01.07.1986 (рег. 10.01.1986) «Срок действия продлен»
ГОСТ 16078-70ГОСТ 16078-70ГОСТ 16078-70ГОСТ 16078-70ГОСТ 16078-70ГОСТ 16078-70ГОСТ 16078-70ГОСТ 16078-70ГОСТ 16078-70ГОСТ 16078-70ГОСТ 16078-70ГОСТ 16078-70ГОСТ 16078-70ГОСТ 16078-70ГОСТ 16078-70ГОСТ 16078-70
 




ГОСТЫ, СТРОИТЕЛЬНЫЕ и ТЕХНИЧЕСКИЕ НОРМАТИВЫ.
Некоммерческая онлайн система, содержащая все Российские Госты, национальные Стандарты и нормативы.
В Системе содержится более 150000 файлов нормативно-технической документации, действующей на территории РФ.
Система предназначена для широкого круга инженерно-технических специалистов.

Рейтинг@Mail.ru Яндекс цитирования

Copyright © www.gostrf.com, 2008 - 2026