Крупнейшая бесплатная информационно-справочная система онлайн доступа к полному собранию технических нормативно-правовых актов РФ. Огромная база технических нормативов (более 150 тысяч документов) и полное собрание национальных стандартов, аутентичное официальной базе Госстандарта. GOSTRF.com - это более 1 Терабайта бесплатной технической информации для всех пользователей интернета. Все электронные копии представленных здесь документов могут распространяться без каких-либо ограничений. Поощряется распространение информации с этого сайта на любых других ресурсах. Каждый человек имеет право на неограниченный доступ к этим документам! Каждый человек имеет право на знание требований, изложенных в данных нормативно-правовых актах!

  


 

ГОСТ Р ИСО 10551-2007

Эргономика тепловой окружающей среды. Определение влияния тепловой окружающей среды с использованием шкал субъективной оценки

Обозначение:ГОСТ Р ИСО 10551-2007
Текущий статус документа: действующий
Название документа рус.:Эргономика тепловой окружающей среды. Определение влияния тепловой окружающей среды с использованием шкал субъективной оценки
Название документа англ.:Ergonomics of the thermal environment. Assessment of the influence of the thermal environment using subjective judgement scales
Дата актуализации текста:01.12.2013
Дата издания:11.02.2008
Дата введения:01.06.2008
Дата последнего изменения:22.05.2013
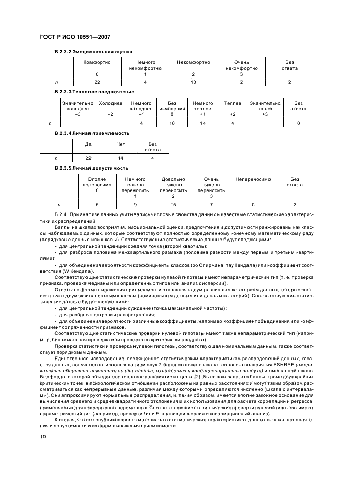
Область применения:Настоящий стандарт касается вопросов создания и применения оценочных шкал (шкал теплового восприятия, теплового комфорта, теплового предпочтения, формы выражения приемлемости условий и шкалы допусков) для получения надежных и сопоставимых данных о субъективных аспектах теплового комфорта или теплового перегрева
ГОСТ Р ИСО 10551-2007ГОСТ Р ИСО 10551-2007ГОСТ Р ИСО 10551-2007ГОСТ Р ИСО 10551-2007ГОСТ Р ИСО 10551-2007ГОСТ Р ИСО 10551-2007ГОСТ Р ИСО 10551-2007ГОСТ Р ИСО 10551-2007ГОСТ Р ИСО 10551-2007ГОСТ Р ИСО 10551-2007ГОСТ Р ИСО 10551-2007ГОСТ Р ИСО 10551-2007ГОСТ Р ИСО 10551-2007ГОСТ Р ИСО 10551-2007ГОСТ Р ИСО 10551-2007ГОСТ Р ИСО 10551-2007ГОСТ Р ИСО 10551-2007ГОСТ Р ИСО 10551-2007ГОСТ Р ИСО 10551-2007ГОСТ Р ИСО 10551-2007ГОСТ Р ИСО 10551-2007ГОСТ Р ИСО 10551-2007ГОСТ Р ИСО 10551-2007
 




ГОСТЫ, СТРОИТЕЛЬНЫЕ и ТЕХНИЧЕСКИЕ НОРМАТИВЫ.
Некоммерческая онлайн система, содержащая все Российские Госты, национальные Стандарты и нормативы.
В Системе содержится более 150000 файлов нормативно-технической документации, действующей на территории РФ.
Система предназначена для широкого круга инженерно-технических специалистов.

Рейтинг@Mail.ru Яндекс цитирования

Copyright © www.gostrf.com, 2008 - 2026