Крупнейшая бесплатная информационно-справочная система онлайн доступа к полному собранию технических нормативно-правовых актов РФ. Огромная база технических нормативов (более 150 тысяч документов) и полное собрание национальных стандартов, аутентичное официальной базе Госстандарта. GOSTRF.com - это более 1 Терабайта бесплатной технической информации для всех пользователей интернета. Все электронные копии представленных здесь документов могут распространяться без каких-либо ограничений. Поощряется распространение информации с этого сайта на любых других ресурсах. Каждый человек имеет право на неограниченный доступ к этим документам! Каждый человек имеет право на знание требований, изложенных в данных нормативно-правовых актах!

  


 

ГОСТ Р ИСО 14738-2007

Безопасность машин. Антропометрические требования при проектировании рабочих мест машин

Обозначение:ГОСТ Р ИСО 14738-2007
Текущий статус документа: действующий
Название документа рус.:Безопасность машин. Антропометрические требования при проектировании рабочих мест машин
Название документа англ.:Safety of machinery. Anthropometric requirements for the design of workstations at machinery
Дата актуализации текста:01.12.2013
Дата издания:16.04.2008
Дата введения:01.06.2008
Дата последнего изменения:22.05.2013
Область применения:Настоящий стандарт устанавливает принципы получения размерных данных по антропометрическим измерениям и применения их при проектировании рабочих станций стационарного машинного оборудования. Настоящий стандарт основан на современных эргономических знаниях и антропометрических размерах.
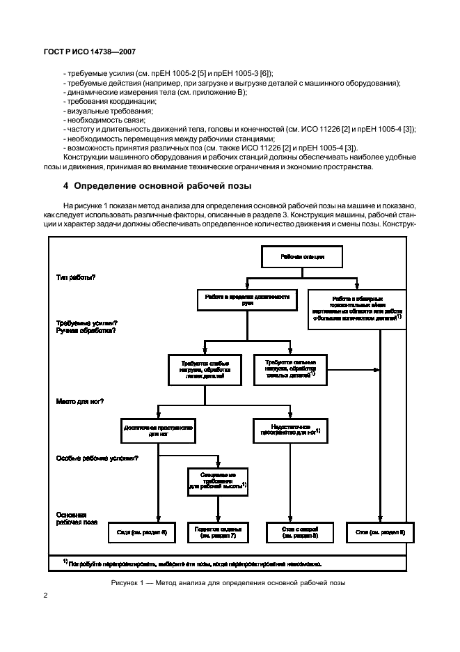
Настоящий стандарт определяет пространственные требования тела для оборудования при обычной работе в сидячем и стоячем положениях. Настоящий стандарт не включает специальные требования работ по техническому обслуживанию, ремонту и чистке
ГОСТ Р ИСО 14738-2007ГОСТ Р ИСО 14738-2007ГОСТ Р ИСО 14738-2007ГОСТ Р ИСО 14738-2007ГОСТ Р ИСО 14738-2007ГОСТ Р ИСО 14738-2007ГОСТ Р ИСО 14738-2007ГОСТ Р ИСО 14738-2007ГОСТ Р ИСО 14738-2007ГОСТ Р ИСО 14738-2007ГОСТ Р ИСО 14738-2007ГОСТ Р ИСО 14738-2007ГОСТ Р ИСО 14738-2007ГОСТ Р ИСО 14738-2007ГОСТ Р ИСО 14738-2007ГОСТ Р ИСО 14738-2007ГОСТ Р ИСО 14738-2007ГОСТ Р ИСО 14738-2007ГОСТ Р ИСО 14738-2007ГОСТ Р ИСО 14738-2007ГОСТ Р ИСО 14738-2007ГОСТ Р ИСО 14738-2007ГОСТ Р ИСО 14738-2007ГОСТ Р ИСО 14738-2007ГОСТ Р ИСО 14738-2007ГОСТ Р ИСО 14738-2007ГОСТ Р ИСО 14738-2007ГОСТ Р ИСО 14738-2007
 




ГОСТЫ, СТРОИТЕЛЬНЫЕ и ТЕХНИЧЕСКИЕ НОРМАТИВЫ.
Некоммерческая онлайн система, содержащая все Российские Госты, национальные Стандарты и нормативы.
В Системе содержится более 150000 файлов нормативно-технической документации, действующей на территории РФ.
Система предназначена для широкого круга инженерно-технических специалистов.

Рейтинг@Mail.ru Яндекс цитирования

Copyright © www.gostrf.com, 2008 - 2026