Крупнейшая бесплатная информационно-справочная система онлайн доступа к полному собранию технических нормативно-правовых актов РФ. Огромная база технических нормативов (более 150 тысяч документов) и полное собрание национальных стандартов, аутентичное официальной базе Госстандарта. GOSTRF.com - это более 1 Терабайта бесплатной технической информации для всех пользователей интернета. Все электронные копии представленных здесь документов могут распространяться без каких-либо ограничений. Поощряется распространение информации с этого сайта на любых других ресурсах. Каждый человек имеет право на неограниченный доступ к этим документам! Каждый человек имеет право на знание требований, изложенных в данных нормативно-правовых актах!

  


 

ГОСТ ИСО 8041-2006

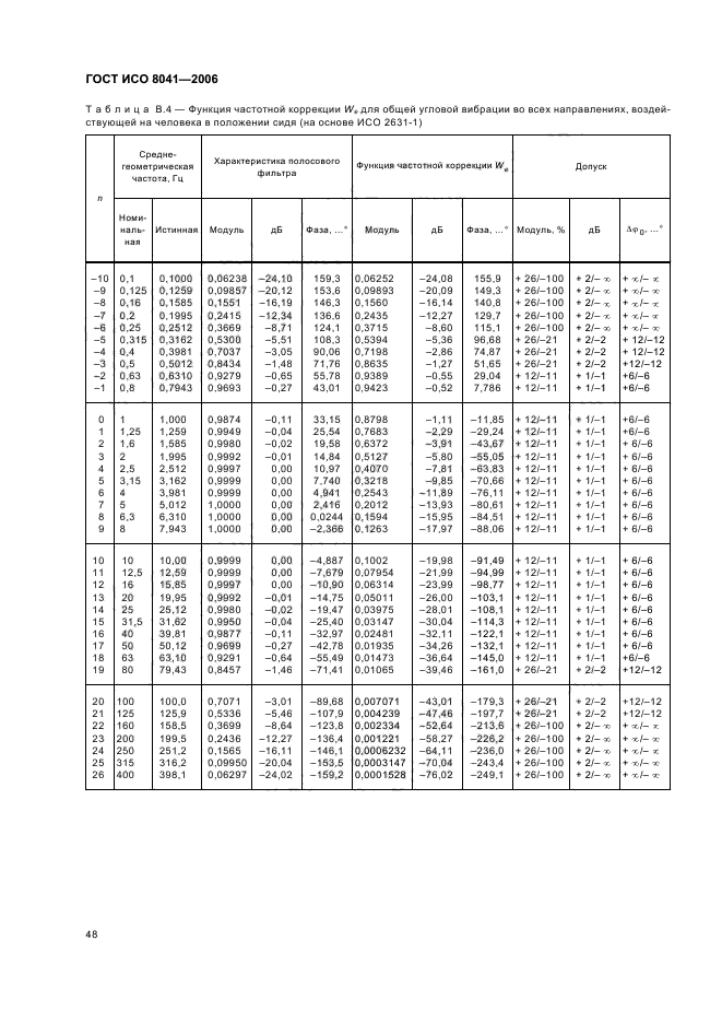
Вибрация. Воздействие вибрации на человека. Средства измерений

Обозначение:ГОСТ ИСО 8041-2006
Текущий статус документа: действующий
Название документа рус.:Вибрация. Воздействие вибрации на человека. Средства измерений
Название документа англ.:Vibration. Human response to vibration. Measuring instrumentation
Дата актуализации текста:01.12.2013
Дата издания:05.05.2008
Дата введения:30.06.2008
Дата последнего изменения:22.05.2013
Область применения:Настоящий стандарт устанавливает требования к характеристикам средств измерений параметров ускорения, используемых при оценке воздействия вибрации на человека, а также методам подтверждения этих характеристик в процессе испытаний: для целей утверждения типа, первичной и повторной поверок и проверки работоспособности на месте (в условиях применения средства измерений).
Настоящий стандарт распространяется на все виды исполнения средства измерений: в виде отдельного блока, совокупности устройств или компьютеризованной системы сбора и анализа данных
Список изменений:№0 от 01.07.2009 (рег. 01.07.2009) «Дата введения перенесена»
Приложение №1:Поправка к ГОСТ ИСО 8041-2006
ГОСТ ИСО 8041-2006ГОСТ ИСО 8041-2006ГОСТ ИСО 8041-2006ГОСТ ИСО 8041-2006ГОСТ ИСО 8041-2006ГОСТ ИСО 8041-2006ГОСТ ИСО 8041-2006ГОСТ ИСО 8041-2006ГОСТ ИСО 8041-2006ГОСТ ИСО 8041-2006ГОСТ ИСО 8041-2006ГОСТ ИСО 8041-2006ГОСТ ИСО 8041-2006ГОСТ ИСО 8041-2006ГОСТ ИСО 8041-2006ГОСТ ИСО 8041-2006ГОСТ ИСО 8041-2006ГОСТ ИСО 8041-2006ГОСТ ИСО 8041-2006ГОСТ ИСО 8041-2006ГОСТ ИСО 8041-2006ГОСТ ИСО 8041-2006ГОСТ ИСО 8041-2006ГОСТ ИСО 8041-2006ГОСТ ИСО 8041-2006ГОСТ ИСО 8041-2006ГОСТ ИСО 8041-2006ГОСТ ИСО 8041-2006ГОСТ ИСО 8041-2006ГОСТ ИСО 8041-2006ГОСТ ИСО 8041-2006ГОСТ ИСО 8041-2006ГОСТ ИСО 8041-2006ГОСТ ИСО 8041-2006ГОСТ ИСО 8041-2006ГОСТ ИСО 8041-2006ГОСТ ИСО 8041-2006ГОСТ ИСО 8041-2006ГОСТ ИСО 8041-2006ГОСТ ИСО 8041-2006ГОСТ ИСО 8041-2006ГОСТ ИСО 8041-2006ГОСТ ИСО 8041-2006ГОСТ ИСО 8041-2006ГОСТ ИСО 8041-2006ГОСТ ИСО 8041-2006ГОСТ ИСО 8041-2006ГОСТ ИСО 8041-2006ГОСТ ИСО 8041-2006ГОСТ ИСО 8041-2006ГОСТ ИСО 8041-2006ГОСТ ИСО 8041-2006ГОСТ ИСО 8041-2006ГОСТ ИСО 8041-2006ГОСТ ИСО 8041-2006ГОСТ ИСО 8041-2006ГОСТ ИСО 8041-2006ГОСТ ИСО 8041-2006ГОСТ ИСО 8041-2006ГОСТ ИСО 8041-2006ГОСТ ИСО 8041-2006ГОСТ ИСО 8041-2006ГОСТ ИСО 8041-2006ГОСТ ИСО 8041-2006ГОСТ ИСО 8041-2006ГОСТ ИСО 8041-2006ГОСТ ИСО 8041-2006ГОСТ ИСО 8041-2006ГОСТ ИСО 8041-2006ГОСТ ИСО 8041-2006ГОСТ ИСО 8041-2006ГОСТ ИСО 8041-2006ГОСТ ИСО 8041-2006ГОСТ ИСО 8041-2006ГОСТ ИСО 8041-2006ГОСТ ИСО 8041-2006ГОСТ ИСО 8041-2006ГОСТ ИСО 8041-2006ГОСТ ИСО 8041-2006ГОСТ ИСО 8041-2006ГОСТ ИСО 8041-2006ГОСТ ИСО 8041-2006ГОСТ ИСО 8041-2006ГОСТ ИСО 8041-2006ГОСТ ИСО 8041-2006

Поправка к ГОСТ ИСО 8041-2006

Обозначение:Поправка к ГОСТ ИСО 8041-2006
Дата введения:01.07.2009


Поправка к ГОСТ ИСО 8041-2006
 




ГОСТЫ, СТРОИТЕЛЬНЫЕ и ТЕХНИЧЕСКИЕ НОРМАТИВЫ.
Некоммерческая онлайн система, содержащая все Российские Госты, национальные Стандарты и нормативы.
В Системе содержится более 150000 файлов нормативно-технической документации, действующей на территории РФ.
Система предназначена для широкого круга инженерно-технических специалистов.

Рейтинг@Mail.ru Яндекс цитирования

Copyright © www.gostrf.com, 2008 - 2026