Крупнейшая бесплатная информационно-справочная система онлайн доступа к полному собранию технических нормативно-правовых актов РФ. Огромная база технических нормативов (более 150 тысяч документов) и полное собрание национальных стандартов, аутентичное официальной базе Госстандарта. GOSTRF.com - это более 1 Терабайта бесплатной технической информации для всех пользователей интернета. Все электронные копии представленных здесь документов могут распространяться без каких-либо ограничений. Поощряется распространение информации с этого сайта на любых других ресурсах. Каждый человек имеет право на неограниченный доступ к этим документам! Каждый человек имеет право на знание требований, изложенных в данных нормативно-правовых актах!

  


 

ГОСТ 20076-2007

Вибрация. Станки балансировочные. Характеристики и методы их проверки

Обозначение:ГОСТ 20076-2007
Текущий статус документа: действующий
Название документа рус.:Вибрация. Станки балансировочные. Характеристики и методы их проверки
Название документа англ.:Vibration. Balancing machines. Description and evaluation methods
Дата актуализации текста:01.12.2013
Дата издания:28.04.2008
Дата введения:30.06.2008
Дата последнего изменения:22.05.2013
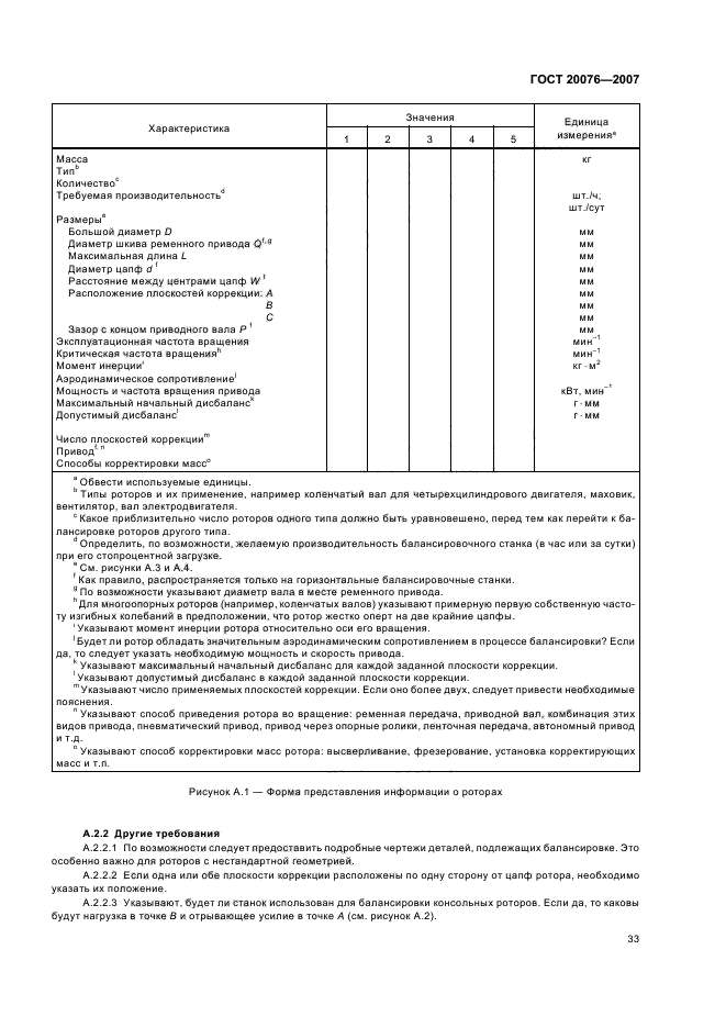
Область применения:Настоящий стандарт устанавливает требования к представлению характеристик балансировочного станка изготовителем и методы проверки заявленных характеристик.
Настоящий стандарт устанавливает требования к контрольным роторам и контрольным грузам, применяемым при проверке характеристик балансировочного станка.
Настоящий стандарт распространяется на зарезонансные и дорезонансные балансировочные станки, применяемые для балансировки жестких роторов
ГОСТ 20076-2007ГОСТ 20076-2007ГОСТ 20076-2007ГОСТ 20076-2007ГОСТ 20076-2007ГОСТ 20076-2007ГОСТ 20076-2007ГОСТ 20076-2007ГОСТ 20076-2007ГОСТ 20076-2007ГОСТ 20076-2007ГОСТ 20076-2007ГОСТ 20076-2007ГОСТ 20076-2007ГОСТ 20076-2007ГОСТ 20076-2007ГОСТ 20076-2007ГОСТ 20076-2007ГОСТ 20076-2007ГОСТ 20076-2007ГОСТ 20076-2007ГОСТ 20076-2007ГОСТ 20076-2007ГОСТ 20076-2007ГОСТ 20076-2007ГОСТ 20076-2007ГОСТ 20076-2007ГОСТ 20076-2007ГОСТ 20076-2007ГОСТ 20076-2007ГОСТ 20076-2007ГОСТ 20076-2007ГОСТ 20076-2007ГОСТ 20076-2007ГОСТ 20076-2007ГОСТ 20076-2007ГОСТ 20076-2007ГОСТ 20076-2007ГОСТ 20076-2007ГОСТ 20076-2007ГОСТ 20076-2007ГОСТ 20076-2007ГОСТ 20076-2007ГОСТ 20076-2007ГОСТ 20076-2007ГОСТ 20076-2007
 




ГОСТЫ, СТРОИТЕЛЬНЫЕ и ТЕХНИЧЕСКИЕ НОРМАТИВЫ.
Некоммерческая онлайн система, содержащая все Российские Госты, национальные Стандарты и нормативы.
В Системе содержится более 150000 файлов нормативно-технической документации, действующей на территории РФ.
Система предназначена для широкого круга инженерно-технических специалистов.

Рейтинг@Mail.ru Яндекс цитирования

Copyright © www.gostrf.com, 2008 - 2026