Крупнейшая бесплатная информационно-справочная система онлайн доступа к полному собранию технических нормативно-правовых актов РФ. Огромная база технических нормативов (более 150 тысяч документов) и полное собрание национальных стандартов, аутентичное официальной базе Госстандарта. GOSTRF.com - это более 1 Терабайта бесплатной технической информации для всех пользователей интернета. Все электронные копии представленных здесь документов могут распространяться без каких-либо ограничений. Поощряется распространение информации с этого сайта на любых других ресурсах. Каждый человек имеет право на неограниченный доступ к этим документам! Каждый человек имеет право на знание требований, изложенных в данных нормативно-правовых актах!

  


 

ГОСТ Р ИСО 12100-2-2007

Безопасность машин. Основные понятия, общие принципы конструирования. Часть 2. Технические принципы

Обозначение:ГОСТ Р ИСО 12100-2-2007
Текущий статус документа: действующий
Название документа рус.:Безопасность машин. Основные понятия, общие принципы конструирования. Часть 2. Технические принципы
Название документа англ.:Safety of machinery. Basic concepts, general principles for design. Part 2. Technical principles
Дата актуализации текста:01.12.2013
Дата издания:15.05.2008
Дата введения:01.07.2008
Дата последнего изменения:22.05.2013
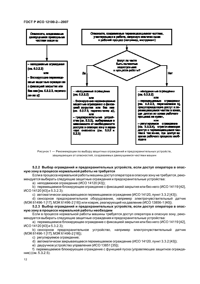
Область применения:Настоящий стандарт устанавливает технические принципы, помогающие конструкторам обеспечить безопасность машин.
Для решения конкретных задач настоящий стандарт следует использовать совместно с ИСО 12100-1. Серия ИСО 12100 может использоваться независимо от других документов или как основа для разработки других стандартов типа А, В или С.
В настоящем стандарте не рассматриваются вопросы, связанные с безопасностью домашних животных, нанесением ущерба имуществу или окружающей среде
ГОСТ Р ИСО 12100-2-2007ГОСТ Р ИСО 12100-2-2007ГОСТ Р ИСО 12100-2-2007ГОСТ Р ИСО 12100-2-2007ГОСТ Р ИСО 12100-2-2007ГОСТ Р ИСО 12100-2-2007ГОСТ Р ИСО 12100-2-2007ГОСТ Р ИСО 12100-2-2007ГОСТ Р ИСО 12100-2-2007ГОСТ Р ИСО 12100-2-2007ГОСТ Р ИСО 12100-2-2007ГОСТ Р ИСО 12100-2-2007ГОСТ Р ИСО 12100-2-2007ГОСТ Р ИСО 12100-2-2007ГОСТ Р ИСО 12100-2-2007ГОСТ Р ИСО 12100-2-2007ГОСТ Р ИСО 12100-2-2007ГОСТ Р ИСО 12100-2-2007ГОСТ Р ИСО 12100-2-2007ГОСТ Р ИСО 12100-2-2007ГОСТ Р ИСО 12100-2-2007ГОСТ Р ИСО 12100-2-2007ГОСТ Р ИСО 12100-2-2007ГОСТ Р ИСО 12100-2-2007ГОСТ Р ИСО 12100-2-2007ГОСТ Р ИСО 12100-2-2007ГОСТ Р ИСО 12100-2-2007ГОСТ Р ИСО 12100-2-2007ГОСТ Р ИСО 12100-2-2007ГОСТ Р ИСО 12100-2-2007ГОСТ Р ИСО 12100-2-2007
 




ГОСТЫ, СТРОИТЕЛЬНЫЕ и ТЕХНИЧЕСКИЕ НОРМАТИВЫ.
Некоммерческая онлайн система, содержащая все Российские Госты, национальные Стандарты и нормативы.
В Системе содержится более 150000 файлов нормативно-технической документации, действующей на территории РФ.
Система предназначена для широкого круга инженерно-технических специалистов.

Рейтинг@Mail.ru Яндекс цитирования

Copyright © www.gostrf.com, 2008 - 2026