Крупнейшая бесплатная информационно-справочная система онлайн доступа к полному собранию технических нормативно-правовых актов РФ. Огромная база технических нормативов (более 150 тысяч документов) и полное собрание национальных стандартов, аутентичное официальной базе Госстандарта. GOSTRF.com - это более 1 Терабайта бесплатной технической информации для всех пользователей интернета. Все электронные копии представленных здесь документов могут распространяться без каких-либо ограничений. Поощряется распространение информации с этого сайта на любых других ресурсах. Каждый человек имеет право на неограниченный доступ к этим документам! Каждый человек имеет право на знание требований, изложенных в данных нормативно-правовых актах!

  


 

ГОСТ Р 52814-2007

Продукты пищевые. Метод выявления бактерий рода Salmonella

Обозначение:ГОСТ Р 52814-2007
Текущий статус документа: действующий
Название документа рус.:Продукты пищевые. Метод выявления бактерий рода Salmonella
Название документа англ.:Food products. Method for the detection of Salmonella
Дата актуализации текста:01.12.2013
Дата издания:26.05.2010
Дата введения:01.01.2009
Дата последнего изменения:22.05.2013
Дата окончания срока действия:15.02.2015
Переиздание:переиздание с поправкой
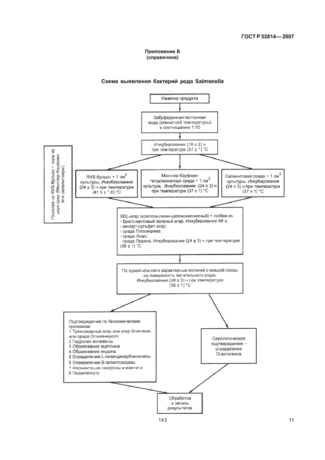
Область применения:Настоящий стандарт распространяется на пищевые продукты и устанавливает метод выявления в определенной массе или объеме продукта бактерий рода Salmonella, включая Salmonella Typhi и Salmonella Paratyphi.
Допускается использование хромогенных сред для предварительного выявления бактерий рода Salmonella в масложировой продукции
Список изменений:№0 от 29.05.2009 (рег. 29.05.2009) «Дата введения перенесена»
№0 от 15.02.2015 (рег. 09.11.2012) «Текстовое изменение; Изменено заглавие»
Приложение №1:Поправка к ГОСТ Р 52814-2007
ГОСТ Р 52814-2007ГОСТ Р 52814-2007ГОСТ Р 52814-2007ГОСТ Р 52814-2007ГОСТ Р 52814-2007ГОСТ Р 52814-2007ГОСТ Р 52814-2007ГОСТ Р 52814-2007ГОСТ Р 52814-2007ГОСТ Р 52814-2007ГОСТ Р 52814-2007ГОСТ Р 52814-2007ГОСТ Р 52814-2007ГОСТ Р 52814-2007ГОСТ Р 52814-2007ГОСТ Р 52814-2007ГОСТ Р 52814-2007ГОСТ Р 52814-2007ГОСТ Р 52814-2007ГОСТ Р 52814-2007ГОСТ Р 52814-2007ГОСТ Р 52814-2007

Поправка к ГОСТ Р 52814-2007

Обозначение:Поправка к ГОСТ Р 52814-2007
Дата введения:29.05.2009


Поправка к ГОСТ Р 52814-2007
 




ГОСТЫ, СТРОИТЕЛЬНЫЕ и ТЕХНИЧЕСКИЕ НОРМАТИВЫ.
Некоммерческая онлайн система, содержащая все Российские Госты, национальные Стандарты и нормативы.
В Системе содержится более 150000 файлов нормативно-технической документации, действующей на территории РФ.
Система предназначена для широкого круга инженерно-технических специалистов.

Рейтинг@Mail.ru Яндекс цитирования

Copyright © www.gostrf.com, 2008 - 2026