Крупнейшая бесплатная информационно-справочная система онлайн доступа к полному собранию технических нормативно-правовых актов РФ. Огромная база технических нормативов (более 150 тысяч документов) и полное собрание национальных стандартов, аутентичное официальной базе Госстандарта. GOSTRF.com - это более 1 Терабайта бесплатной технической информации для всех пользователей интернета. Все электронные копии представленных здесь документов могут распространяться без каких-либо ограничений. Поощряется распространение информации с этого сайта на любых других ресурсах. Каждый человек имеет право на неограниченный доступ к этим документам! Каждый человек имеет право на знание требований, изложенных в данных нормативно-правовых актах!

  


 

ГОСТ 25645.146-89

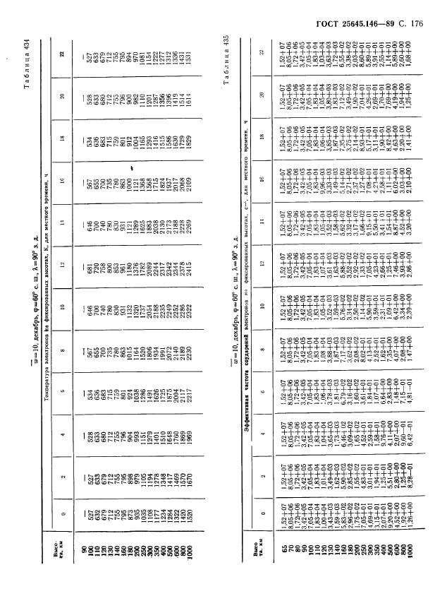
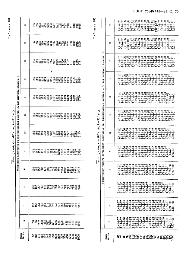
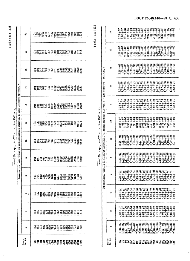
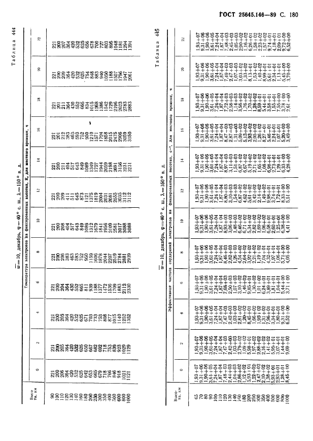
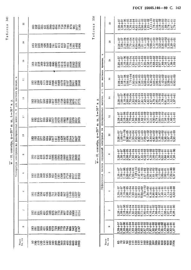
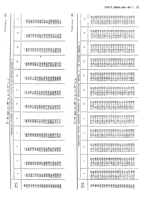
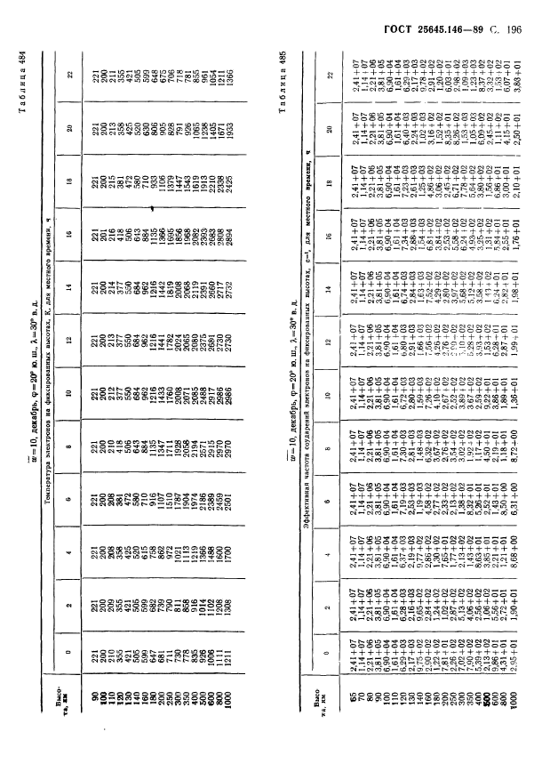
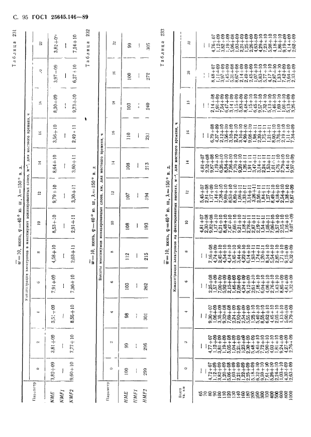
Ионосфера Земли. Модель глобального распределения концентрации, температуры и эффективной частоты соударений электронов

Обозначение:ГОСТ 25645.146-89
Текущий статус документа: действующий
Название документа рус.:Ионосфера Земли. Модель глобального распределения концентрации, температуры и эффективной частоты соударений электронов
Название документа англ.:Earth's ionosphere. Model of global distribution of concentration, temperature and effective collision frequency of electrons
Дата актуализации текста:01.12.2013
Дата издания:28.12.1990
Дата введения:01.01.1991
Дата последнего изменения:22.05.2013
Взамен:
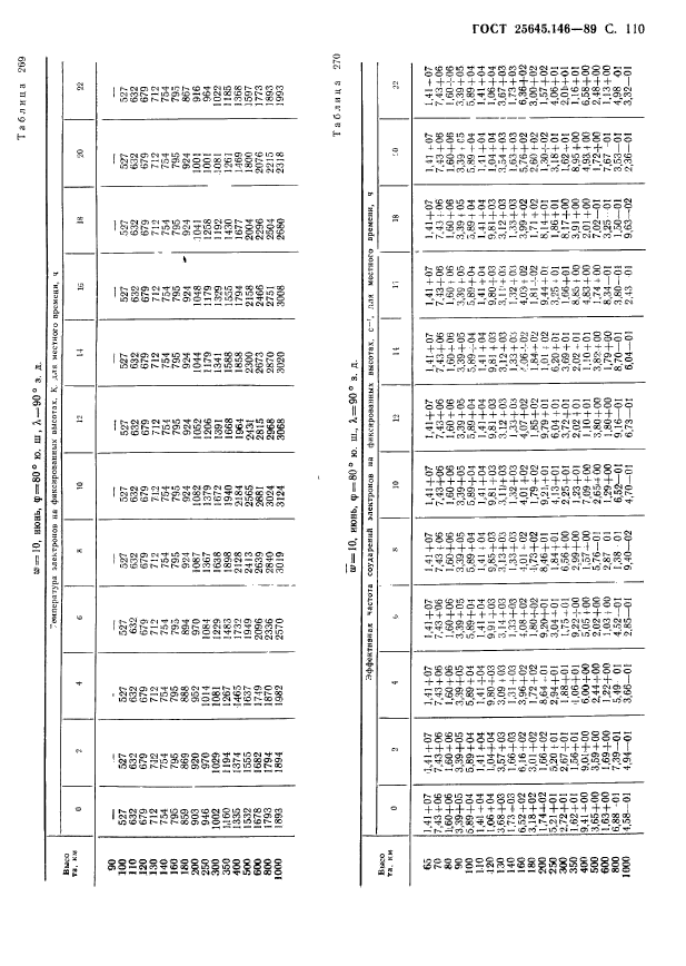
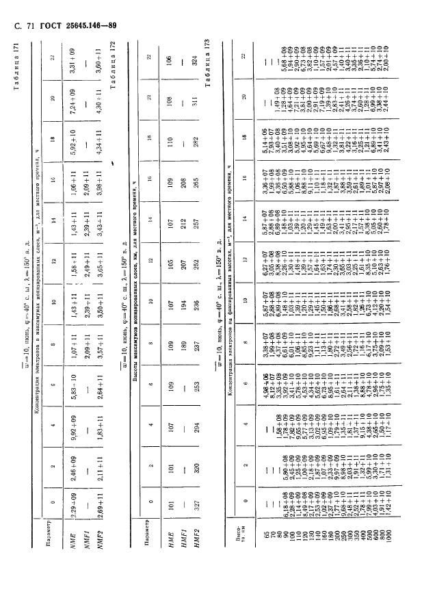
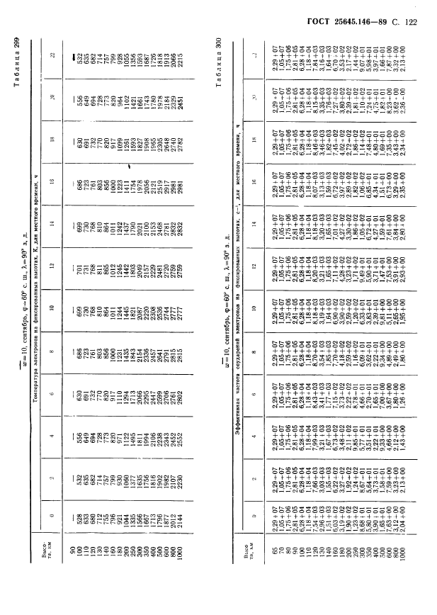
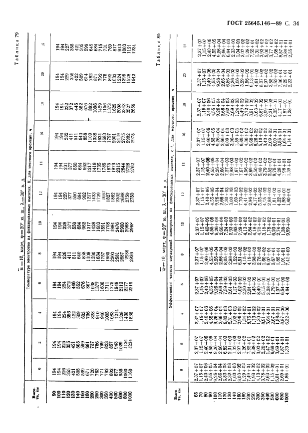
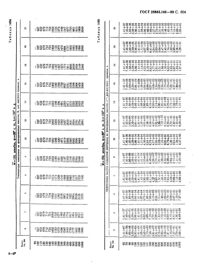
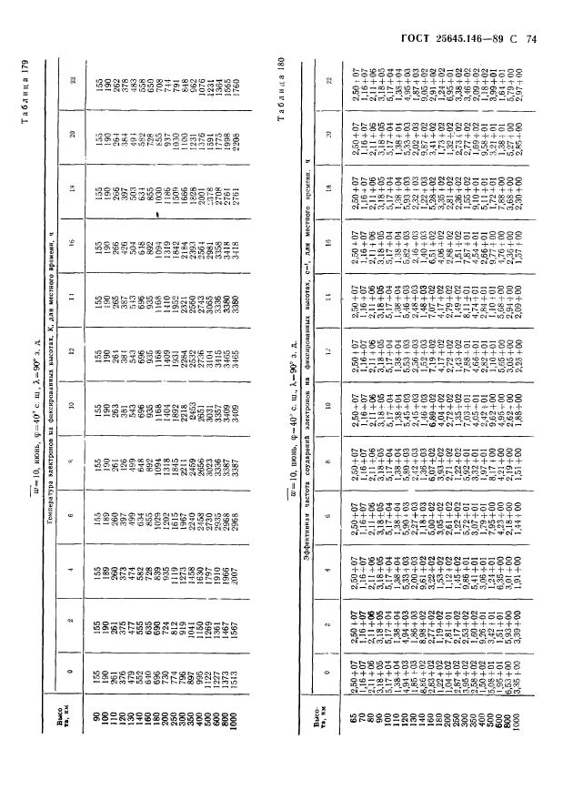
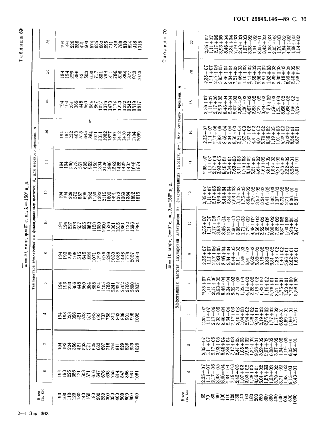
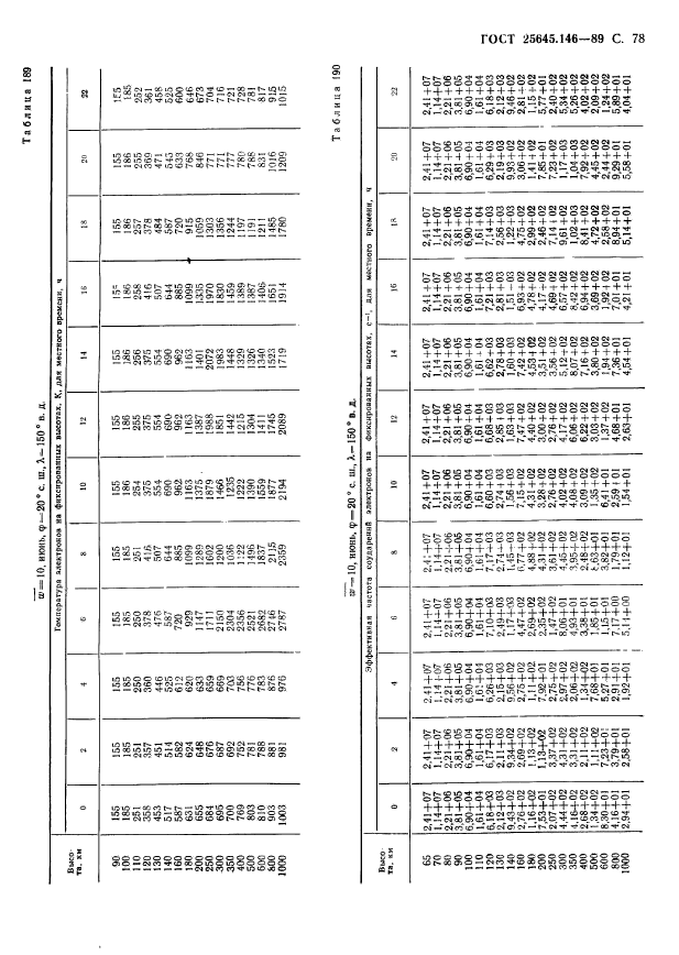
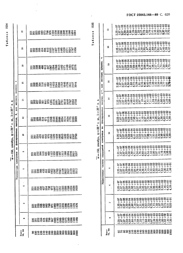
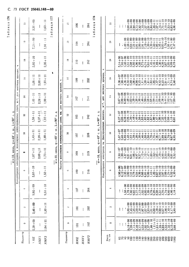
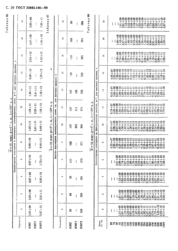
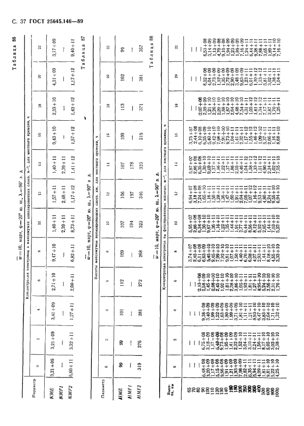
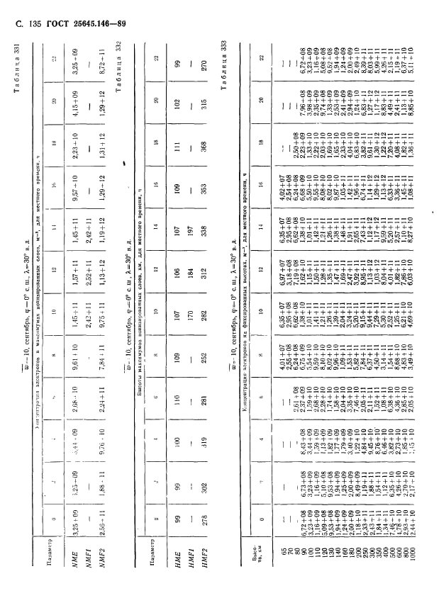
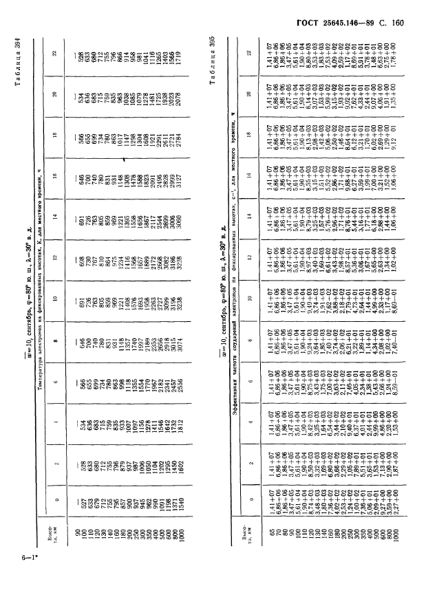
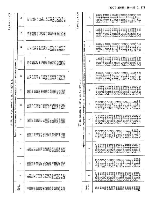
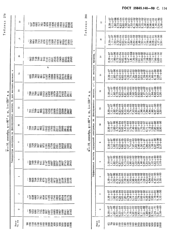
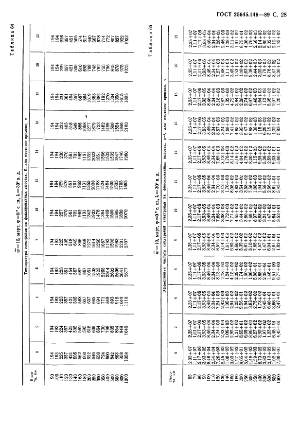
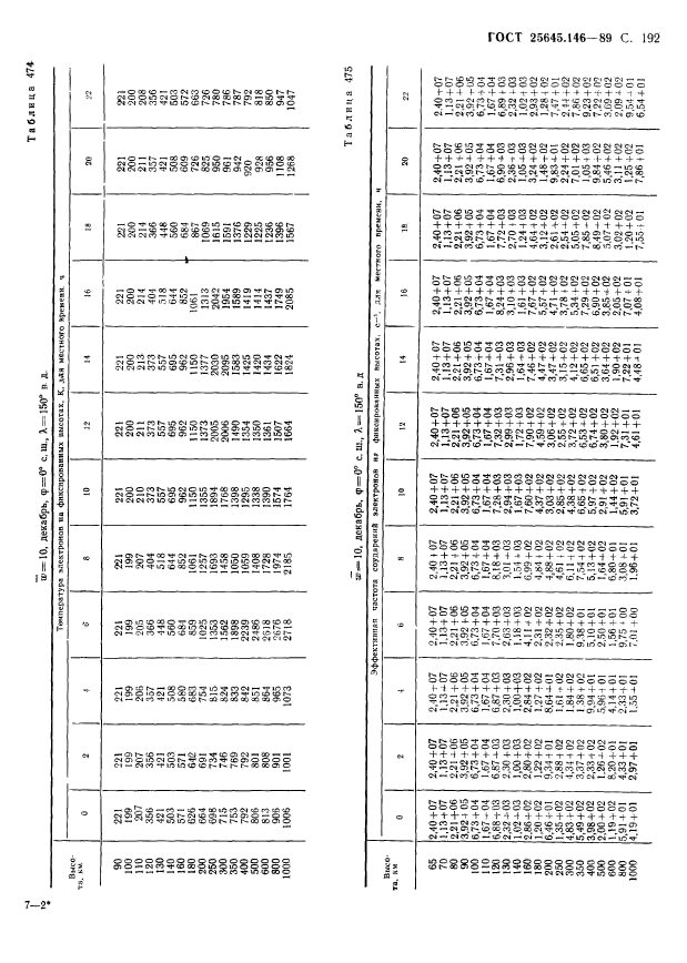
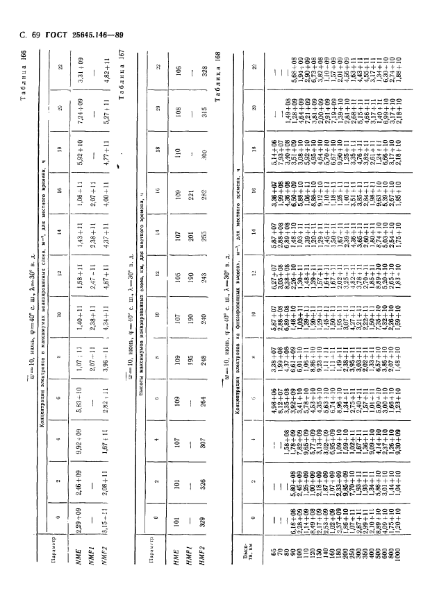
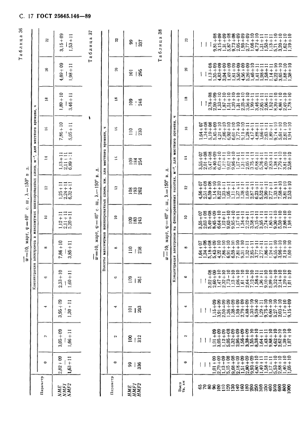
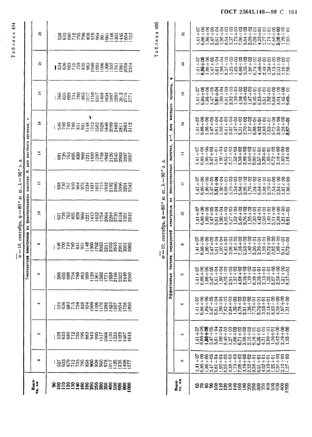
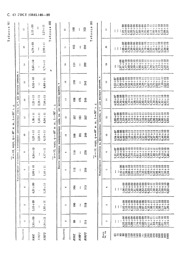
Область применения:Настоящий стандарт устанавливает модель глобального распределения средних значений концентрации, температуры и эффективной частоты соударений электронов в ионосфере Земли в интервале высот от 65 до 1000 км без учета тонких спорадических слоев E для любого времени суток, различных дней года и уровней солнечной активности, а для концентрации электронов на высоких широтах - и для различных уровней геомагнитной активности.
Стандарт не распространяется на периоды ионосферных бурь
ГОСТ 25645.146-89ГОСТ 25645.146-89ГОСТ 25645.146-89ГОСТ 25645.146-89ГОСТ 25645.146-89ГОСТ 25645.146-89ГОСТ 25645.146-89ГОСТ 25645.146-89ГОСТ 25645.146-89ГОСТ 25645.146-89ГОСТ 25645.146-89ГОСТ 25645.146-89ГОСТ 25645.146-89ГОСТ 25645.146-89ГОСТ 25645.146-89ГОСТ 25645.146-89ГОСТ 25645.146-89ГОСТ 25645.146-89ГОСТ 25645.146-89ГОСТ 25645.146-89ГОСТ 25645.146-89ГОСТ 25645.146-89ГОСТ 25645.146-89ГОСТ 25645.146-89ГОСТ 25645.146-89ГОСТ 25645.146-89ГОСТ 25645.146-89ГОСТ 25645.146-89ГОСТ 25645.146-89ГОСТ 25645.146-89ГОСТ 25645.146-89ГОСТ 25645.146-89ГОСТ 25645.146-89ГОСТ 25645.146-89ГОСТ 25645.146-89ГОСТ 25645.146-89ГОСТ 25645.146-89ГОСТ 25645.146-89ГОСТ 25645.146-89ГОСТ 25645.146-89ГОСТ 25645.146-89ГОСТ 25645.146-89ГОСТ 25645.146-89ГОСТ 25645.146-89ГОСТ 25645.146-89ГОСТ 25645.146-89ГОСТ 25645.146-89ГОСТ 25645.146-89ГОСТ 25645.146-89ГОСТ 25645.146-89ГОСТ 25645.146-89ГОСТ 25645.146-89ГОСТ 25645.146-89ГОСТ 25645.146-89ГОСТ 25645.146-89ГОСТ 25645.146-89ГОСТ 25645.146-89ГОСТ 25645.146-89ГОСТ 25645.146-89ГОСТ 25645.146-89ГОСТ 25645.146-89ГОСТ 25645.146-89ГОСТ 25645.146-89ГОСТ 25645.146-89ГОСТ 25645.146-89ГОСТ 25645.146-89ГОСТ 25645.146-89ГОСТ 25645.146-89ГОСТ 25645.146-89ГОСТ 25645.146-89ГОСТ 25645.146-89ГОСТ 25645.146-89ГОСТ 25645.146-89ГОСТ 25645.146-89ГОСТ 25645.146-89ГОСТ 25645.146-89ГОСТ 25645.146-89ГОСТ 25645.146-89ГОСТ 25645.146-89ГОСТ 25645.146-89ГОСТ 25645.146-89ГОСТ 25645.146-89ГОСТ 25645.146-89ГОСТ 25645.146-89ГОСТ 25645.146-89ГОСТ 25645.146-89ГОСТ 25645.146-89ГОСТ 25645.146-89ГОСТ 25645.146-89ГОСТ 25645.146-89ГОСТ 25645.146-89ГОСТ 25645.146-89ГОСТ 25645.146-89ГОСТ 25645.146-89ГОСТ 25645.146-89ГОСТ 25645.146-89ГОСТ 25645.146-89ГОСТ 25645.146-89ГОСТ 25645.146-89ГОСТ 25645.146-89ГОСТ 25645.146-89ГОСТ 25645.146-89ГОСТ 25645.146-89ГОСТ 25645.146-89ГОСТ 25645.146-89ГОСТ 25645.146-89ГОСТ 25645.146-89ГОСТ 25645.146-89ГОСТ 25645.146-89ГОСТ 25645.146-89ГОСТ 25645.146-89ГОСТ 25645.146-89ГОСТ 25645.146-89ГОСТ 25645.146-89ГОСТ 25645.146-89ГОСТ 25645.146-89ГОСТ 25645.146-89ГОСТ 25645.146-89ГОСТ 25645.146-89ГОСТ 25645.146-89ГОСТ 25645.146-89ГОСТ 25645.146-89ГОСТ 25645.146-89ГОСТ 25645.146-89ГОСТ 25645.146-89ГОСТ 25645.146-89ГОСТ 25645.146-89ГОСТ 25645.146-89ГОСТ 25645.146-89ГОСТ 25645.146-89ГОСТ 25645.146-89ГОСТ 25645.146-89ГОСТ 25645.146-89ГОСТ 25645.146-89ГОСТ 25645.146-89ГОСТ 25645.146-89ГОСТ 25645.146-89ГОСТ 25645.146-89ГОСТ 25645.146-89ГОСТ 25645.146-89ГОСТ 25645.146-89ГОСТ 25645.146-89ГОСТ 25645.146-89ГОСТ 25645.146-89ГОСТ 25645.146-89ГОСТ 25645.146-89ГОСТ 25645.146-89ГОСТ 25645.146-89ГОСТ 25645.146-89ГОСТ 25645.146-89ГОСТ 25645.146-89ГОСТ 25645.146-89ГОСТ 25645.146-89ГОСТ 25645.146-89ГОСТ 25645.146-89ГОСТ 25645.146-89ГОСТ 25645.146-89ГОСТ 25645.146-89ГОСТ 25645.146-89ГОСТ 25645.146-89ГОСТ 25645.146-89ГОСТ 25645.146-89ГОСТ 25645.146-89ГОСТ 25645.146-89ГОСТ 25645.146-89ГОСТ 25645.146-89ГОСТ 25645.146-89ГОСТ 25645.146-89ГОСТ 25645.146-89ГОСТ 25645.146-89ГОСТ 25645.146-89ГОСТ 25645.146-89ГОСТ 25645.146-89ГОСТ 25645.146-89ГОСТ 25645.146-89ГОСТ 25645.146-89ГОСТ 25645.146-89ГОСТ 25645.146-89ГОСТ 25645.146-89ГОСТ 25645.146-89ГОСТ 25645.146-89ГОСТ 25645.146-89ГОСТ 25645.146-89ГОСТ 25645.146-89ГОСТ 25645.146-89ГОСТ 25645.146-89ГОСТ 25645.146-89ГОСТ 25645.146-89ГОСТ 25645.146-89ГОСТ 25645.146-89ГОСТ 25645.146-89ГОСТ 25645.146-89ГОСТ 25645.146-89ГОСТ 25645.146-89ГОСТ 25645.146-89ГОСТ 25645.146-89ГОСТ 25645.146-89ГОСТ 25645.146-89ГОСТ 25645.146-89ГОСТ 25645.146-89ГОСТ 25645.146-89ГОСТ 25645.146-89ГОСТ 25645.146-89ГОСТ 25645.146-89ГОСТ 25645.146-89ГОСТ 25645.146-89ГОСТ 25645.146-89ГОСТ 25645.146-89ГОСТ 25645.146-89ГОСТ 25645.146-89ГОСТ 25645.146-89ГОСТ 25645.146-89ГОСТ 25645.146-89ГОСТ 25645.146-89ГОСТ 25645.146-89ГОСТ 25645.146-89ГОСТ 25645.146-89ГОСТ 25645.146-89ГОСТ 25645.146-89ГОСТ 25645.146-89ГОСТ 25645.146-89ГОСТ 25645.146-89ГОСТ 25645.146-89ГОСТ 25645.146-89ГОСТ 25645.146-89ГОСТ 25645.146-89ГОСТ 25645.146-89ГОСТ 25645.146-89ГОСТ 25645.146-89ГОСТ 25645.146-89ГОСТ 25645.146-89ГОСТ 25645.146-89ГОСТ 25645.146-89ГОСТ 25645.146-89ГОСТ 25645.146-89ГОСТ 25645.146-89ГОСТ 25645.146-89ГОСТ 25645.146-89ГОСТ 25645.146-89ГОСТ 25645.146-89ГОСТ 25645.146-89ГОСТ 25645.146-89ГОСТ 25645.146-89ГОСТ 25645.146-89ГОСТ 25645.146-89ГОСТ 25645.146-89ГОСТ 25645.146-89ГОСТ 25645.146-89ГОСТ 25645.146-89ГОСТ 25645.146-89ГОСТ 25645.146-89ГОСТ 25645.146-89ГОСТ 25645.146-89ГОСТ 25645.146-89ГОСТ 25645.146-89ГОСТ 25645.146-89ГОСТ 25645.146-89ГОСТ 25645.146-89ГОСТ 25645.146-89ГОСТ 25645.146-89ГОСТ 25645.146-89ГОСТ 25645.146-89ГОСТ 25645.146-89ГОСТ 25645.146-89ГОСТ 25645.146-89ГОСТ 25645.146-89ГОСТ 25645.146-89ГОСТ 25645.146-89ГОСТ 25645.146-89ГОСТ 25645.146-89ГОСТ 25645.146-89ГОСТ 25645.146-89ГОСТ 25645.146-89ГОСТ 25645.146-89ГОСТ 25645.146-89ГОСТ 25645.146-89ГОСТ 25645.146-89ГОСТ 25645.146-89ГОСТ 25645.146-89ГОСТ 25645.146-89ГОСТ 25645.146-89ГОСТ 25645.146-89ГОСТ 25645.146-89ГОСТ 25645.146-89ГОСТ 25645.146-89ГОСТ 25645.146-89ГОСТ 25645.146-89ГОСТ 25645.146-89ГОСТ 25645.146-89ГОСТ 25645.146-89ГОСТ 25645.146-89ГОСТ 25645.146-89ГОСТ 25645.146-89ГОСТ 25645.146-89ГОСТ 25645.146-89ГОСТ 25645.146-89ГОСТ 25645.146-89ГОСТ 25645.146-89ГОСТ 25645.146-89ГОСТ 25645.146-89ГОСТ 25645.146-89ГОСТ 25645.146-89ГОСТ 25645.146-89ГОСТ 25645.146-89ГОСТ 25645.146-89ГОСТ 25645.146-89ГОСТ 25645.146-89ГОСТ 25645.146-89ГОСТ 25645.146-89ГОСТ 25645.146-89ГОСТ 25645.146-89ГОСТ 25645.146-89ГОСТ 25645.146-89ГОСТ 25645.146-89ГОСТ 25645.146-89ГОСТ 25645.146-89ГОСТ 25645.146-89ГОСТ 25645.146-89ГОСТ 25645.146-89ГОСТ 25645.146-89ГОСТ 25645.146-89ГОСТ 25645.146-89ГОСТ 25645.146-89ГОСТ 25645.146-89ГОСТ 25645.146-89ГОСТ 25645.146-89ГОСТ 25645.146-89ГОСТ 25645.146-89ГОСТ 25645.146-89ГОСТ 25645.146-89ГОСТ 25645.146-89ГОСТ 25645.146-89ГОСТ 25645.146-89ГОСТ 25645.146-89ГОСТ 25645.146-89ГОСТ 25645.146-89ГОСТ 25645.146-89ГОСТ 25645.146-89ГОСТ 25645.146-89ГОСТ 25645.146-89ГОСТ 25645.146-89ГОСТ 25645.146-89ГОСТ 25645.146-89ГОСТ 25645.146-89ГОСТ 25645.146-89ГОСТ 25645.146-89ГОСТ 25645.146-89ГОСТ 25645.146-89ГОСТ 25645.146-89ГОСТ 25645.146-89ГОСТ 25645.146-89ГОСТ 25645.146-89ГОСТ 25645.146-89ГОСТ 25645.146-89ГОСТ 25645.146-89ГОСТ 25645.146-89ГОСТ 25645.146-89ГОСТ 25645.146-89ГОСТ 25645.146-89ГОСТ 25645.146-89ГОСТ 25645.146-89ГОСТ 25645.146-89ГОСТ 25645.146-89ГОСТ 25645.146-89ГОСТ 25645.146-89ГОСТ 25645.146-89ГОСТ 25645.146-89ГОСТ 25645.146-89ГОСТ 25645.146-89ГОСТ 25645.146-89ГОСТ 25645.146-89ГОСТ 25645.146-89ГОСТ 25645.146-89ГОСТ 25645.146-89ГОСТ 25645.146-89ГОСТ 25645.146-89ГОСТ 25645.146-89ГОСТ 25645.146-89ГОСТ 25645.146-89ГОСТ 25645.146-89ГОСТ 25645.146-89ГОСТ 25645.146-89ГОСТ 25645.146-89ГОСТ 25645.146-89ГОСТ 25645.146-89ГОСТ 25645.146-89ГОСТ 25645.146-89ГОСТ 25645.146-89ГОСТ 25645.146-89ГОСТ 25645.146-89ГОСТ 25645.146-89ГОСТ 25645.146-89ГОСТ 25645.146-89ГОСТ 25645.146-89ГОСТ 25645.146-89ГОСТ 25645.146-89ГОСТ 25645.146-89ГОСТ 25645.146-89ГОСТ 25645.146-89ГОСТ 25645.146-89ГОСТ 25645.146-89ГОСТ 25645.146-89ГОСТ 25645.146-89ГОСТ 25645.146-89ГОСТ 25645.146-89ГОСТ 25645.146-89ГОСТ 25645.146-89ГОСТ 25645.146-89ГОСТ 25645.146-89ГОСТ 25645.146-89ГОСТ 25645.146-89ГОСТ 25645.146-89ГОСТ 25645.146-89ГОСТ 25645.146-89ГОСТ 25645.146-89ГОСТ 25645.146-89ГОСТ 25645.146-89ГОСТ 25645.146-89ГОСТ 25645.146-89ГОСТ 25645.146-89ГОСТ 25645.146-89ГОСТ 25645.146-89ГОСТ 25645.146-89ГОСТ 25645.146-89ГОСТ 25645.146-89ГОСТ 25645.146-89ГОСТ 25645.146-89ГОСТ 25645.146-89ГОСТ 25645.146-89ГОСТ 25645.146-89ГОСТ 25645.146-89ГОСТ 25645.146-89ГОСТ 25645.146-89ГОСТ 25645.146-89ГОСТ 25645.146-89ГОСТ 25645.146-89ГОСТ 25645.146-89ГОСТ 25645.146-89ГОСТ 25645.146-89ГОСТ 25645.146-89ГОСТ 25645.146-89ГОСТ 25645.146-89ГОСТ 25645.146-89ГОСТ 25645.146-89ГОСТ 25645.146-89ГОСТ 25645.146-89ГОСТ 25645.146-89ГОСТ 25645.146-89ГОСТ 25645.146-89ГОСТ 25645.146-89ГОСТ 25645.146-89ГОСТ 25645.146-89ГОСТ 25645.146-89ГОСТ 25645.146-89ГОСТ 25645.146-89ГОСТ 25645.146-89ГОСТ 25645.146-89ГОСТ 25645.146-89ГОСТ 25645.146-89ГОСТ 25645.146-89ГОСТ 25645.146-89ГОСТ 25645.146-89ГОСТ 25645.146-89ГОСТ 25645.146-89ГОСТ 25645.146-89ГОСТ 25645.146-89ГОСТ 25645.146-89ГОСТ 25645.146-89ГОСТ 25645.146-89ГОСТ 25645.146-89ГОСТ 25645.146-89ГОСТ 25645.146-89ГОСТ 25645.146-89ГОСТ 25645.146-89ГОСТ 25645.146-89ГОСТ 25645.146-89ГОСТ 25645.146-89ГОСТ 25645.146-89ГОСТ 25645.146-89ГОСТ 25645.146-89ГОСТ 25645.146-89ГОСТ 25645.146-89ГОСТ 25645.146-89ГОСТ 25645.146-89ГОСТ 25645.146-89ГОСТ 25645.146-89ГОСТ 25645.146-89ГОСТ 25645.146-89ГОСТ 25645.146-89ГОСТ 25645.146-89ГОСТ 25645.146-89ГОСТ 25645.146-89ГОСТ 25645.146-89ГОСТ 25645.146-89ГОСТ 25645.146-89ГОСТ 25645.146-89ГОСТ 25645.146-89ГОСТ 25645.146-89ГОСТ 25645.146-89ГОСТ 25645.146-89ГОСТ 25645.146-89ГОСТ 25645.146-89ГОСТ 25645.146-89ГОСТ 25645.146-89ГОСТ 25645.146-89ГОСТ 25645.146-89ГОСТ 25645.146-89ГОСТ 25645.146-89ГОСТ 25645.146-89ГОСТ 25645.146-89ГОСТ 25645.146-89ГОСТ 25645.146-89ГОСТ 25645.146-89ГОСТ 25645.146-89ГОСТ 25645.146-89ГОСТ 25645.146-89ГОСТ 25645.146-89ГОСТ 25645.146-89ГОСТ 25645.146-89ГОСТ 25645.146-89ГОСТ 25645.146-89ГОСТ 25645.146-89ГОСТ 25645.146-89ГОСТ 25645.146-89ГОСТ 25645.146-89ГОСТ 25645.146-89ГОСТ 25645.146-89ГОСТ 25645.146-89ГОСТ 25645.146-89ГОСТ 25645.146-89ГОСТ 25645.146-89ГОСТ 25645.146-89ГОСТ 25645.146-89ГОСТ 25645.146-89ГОСТ 25645.146-89ГОСТ 25645.146-89ГОСТ 25645.146-89ГОСТ 25645.146-89ГОСТ 25645.146-89ГОСТ 25645.146-89ГОСТ 25645.146-89ГОСТ 25645.146-89ГОСТ 25645.146-89ГОСТ 25645.146-89ГОСТ 25645.146-89ГОСТ 25645.146-89ГОСТ 25645.146-89ГОСТ 25645.146-89ГОСТ 25645.146-89ГОСТ 25645.146-89ГОСТ 25645.146-89ГОСТ 25645.146-89ГОСТ 25645.146-89ГОСТ 25645.146-89ГОСТ 25645.146-89ГОСТ 25645.146-89ГОСТ 25645.146-89ГОСТ 25645.146-89ГОСТ 25645.146-89ГОСТ 25645.146-89ГОСТ 25645.146-89ГОСТ 25645.146-89ГОСТ 25645.146-89ГОСТ 25645.146-89ГОСТ 25645.146-89ГОСТ 25645.146-89ГОСТ 25645.146-89ГОСТ 25645.146-89ГОСТ 25645.146-89ГОСТ 25645.146-89ГОСТ 25645.146-89ГОСТ 25645.146-89ГОСТ 25645.146-89ГОСТ 25645.146-89ГОСТ 25645.146-89ГОСТ 25645.146-89ГОСТ 25645.146-89ГОСТ 25645.146-89ГОСТ 25645.146-89ГОСТ 25645.146-89ГОСТ 25645.146-89ГОСТ 25645.146-89ГОСТ 25645.146-89ГОСТ 25645.146-89ГОСТ 25645.146-89ГОСТ 25645.146-89ГОСТ 25645.146-89ГОСТ 25645.146-89ГОСТ 25645.146-89ГОСТ 25645.146-89ГОСТ 25645.146-89ГОСТ 25645.146-89ГОСТ 25645.146-89ГОСТ 25645.146-89ГОСТ 25645.146-89ГОСТ 25645.146-89ГОСТ 25645.146-89ГОСТ 25645.146-89ГОСТ 25645.146-89ГОСТ 25645.146-89ГОСТ 25645.146-89ГОСТ 25645.146-89ГОСТ 25645.146-89ГОСТ 25645.146-89ГОСТ 25645.146-89ГОСТ 25645.146-89ГОСТ 25645.146-89ГОСТ 25645.146-89ГОСТ 25645.146-89ГОСТ 25645.146-89ГОСТ 25645.146-89ГОСТ 25645.146-89ГОСТ 25645.146-89ГОСТ 25645.146-89ГОСТ 25645.146-89ГОСТ 25645.146-89ГОСТ 25645.146-89ГОСТ 25645.146-89ГОСТ 25645.146-89ГОСТ 25645.146-89ГОСТ 25645.146-89ГОСТ 25645.146-89ГОСТ 25645.146-89ГОСТ 25645.146-89ГОСТ 25645.146-89ГОСТ 25645.146-89ГОСТ 25645.146-89ГОСТ 25645.146-89ГОСТ 25645.146-89ГОСТ 25645.146-89ГОСТ 25645.146-89ГОСТ 25645.146-89ГОСТ 25645.146-89ГОСТ 25645.146-89ГОСТ 25645.146-89ГОСТ 25645.146-89ГОСТ 25645.146-89ГОСТ 25645.146-89ГОСТ 25645.146-89ГОСТ 25645.146-89ГОСТ 25645.146-89ГОСТ 25645.146-89ГОСТ 25645.146-89ГОСТ 25645.146-89ГОСТ 25645.146-89ГОСТ 25645.146-89ГОСТ 25645.146-89ГОСТ 25645.146-89ГОСТ 25645.146-89ГОСТ 25645.146-89ГОСТ 25645.146-89ГОСТ 25645.146-89ГОСТ 25645.146-89ГОСТ 25645.146-89ГОСТ 25645.146-89ГОСТ 25645.146-89ГОСТ 25645.146-89ГОСТ 25645.146-89ГОСТ 25645.146-89ГОСТ 25645.146-89ГОСТ 25645.146-89ГОСТ 25645.146-89ГОСТ 25645.146-89ГОСТ 25645.146-89ГОСТ 25645.146-89ГОСТ 25645.146-89ГОСТ 25645.146-89ГОСТ 25645.146-89ГОСТ 25645.146-89ГОСТ 25645.146-89ГОСТ 25645.146-89ГОСТ 25645.146-89ГОСТ 25645.146-89ГОСТ 25645.146-89ГОСТ 25645.146-89ГОСТ 25645.146-89ГОСТ 25645.146-89ГОСТ 25645.146-89ГОСТ 25645.146-89ГОСТ 25645.146-89ГОСТ 25645.146-89ГОСТ 25645.146-89ГОСТ 25645.146-89ГОСТ 25645.146-89ГОСТ 25645.146-89ГОСТ 25645.146-89ГОСТ 25645.146-89ГОСТ 25645.146-89ГОСТ 25645.146-89ГОСТ 25645.146-89ГОСТ 25645.146-89ГОСТ 25645.146-89ГОСТ 25645.146-89ГОСТ 25645.146-89ГОСТ 25645.146-89ГОСТ 25645.146-89ГОСТ 25645.146-89ГОСТ 25645.146-89ГОСТ 25645.146-89ГОСТ 25645.146-89ГОСТ 25645.146-89ГОСТ 25645.146-89ГОСТ 25645.146-89ГОСТ 25645.146-89ГОСТ 25645.146-89ГОСТ 25645.146-89ГОСТ 25645.146-89ГОСТ 25645.146-89ГОСТ 25645.146-89ГОСТ 25645.146-89ГОСТ 25645.146-89ГОСТ 25645.146-89ГОСТ 25645.146-89ГОСТ 25645.146-89ГОСТ 25645.146-89ГОСТ 25645.146-89ГОСТ 25645.146-89ГОСТ 25645.146-89ГОСТ 25645.146-89ГОСТ 25645.146-89ГОСТ 25645.146-89ГОСТ 25645.146-89ГОСТ 25645.146-89ГОСТ 25645.146-89ГОСТ 25645.146-89ГОСТ 25645.146-89ГОСТ 25645.146-89ГОСТ 25645.146-89ГОСТ 25645.146-89ГОСТ 25645.146-89ГОСТ 25645.146-89ГОСТ 25645.146-89ГОСТ 25645.146-89ГОСТ 25645.146-89ГОСТ 25645.146-89ГОСТ 25645.146-89ГОСТ 25645.146-89ГОСТ 25645.146-89ГОСТ 25645.146-89ГОСТ 25645.146-89ГОСТ 25645.146-89ГОСТ 25645.146-89ГОСТ 25645.146-89ГОСТ 25645.146-89ГОСТ 25645.146-89ГОСТ 25645.146-89ГОСТ 25645.146-89ГОСТ 25645.146-89ГОСТ 25645.146-89ГОСТ 25645.146-89ГОСТ 25645.146-89ГОСТ 25645.146-89ГОСТ 25645.146-89ГОСТ 25645.146-89ГОСТ 25645.146-89ГОСТ 25645.146-89ГОСТ 25645.146-89ГОСТ 25645.146-89ГОСТ 25645.146-89ГОСТ 25645.146-89ГОСТ 25645.146-89ГОСТ 25645.146-89ГОСТ 25645.146-89ГОСТ 25645.146-89ГОСТ 25645.146-89ГОСТ 25645.146-89ГОСТ 25645.146-89ГОСТ 25645.146-89ГОСТ 25645.146-89ГОСТ 25645.146-89ГОСТ 25645.146-89ГОСТ 25645.146-89ГОСТ 25645.146-89ГОСТ 25645.146-89ГОСТ 25645.146-89ГОСТ 25645.146-89ГОСТ 25645.146-89ГОСТ 25645.146-89ГОСТ 25645.146-89ГОСТ 25645.146-89ГОСТ 25645.146-89ГОСТ 25645.146-89ГОСТ 25645.146-89ГОСТ 25645.146-89ГОСТ 25645.146-89ГОСТ 25645.146-89ГОСТ 25645.146-89ГОСТ 25645.146-89ГОСТ 25645.146-89ГОСТ 25645.146-89ГОСТ 25645.146-89ГОСТ 25645.146-89ГОСТ 25645.146-89ГОСТ 25645.146-89ГОСТ 25645.146-89ГОСТ 25645.146-89ГОСТ 25645.146-89ГОСТ 25645.146-89ГОСТ 25645.146-89ГОСТ 25645.146-89ГОСТ 25645.146-89ГОСТ 25645.146-89ГОСТ 25645.146-89ГОСТ 25645.146-89ГОСТ 25645.146-89ГОСТ 25645.146-89ГОСТ 25645.146-89ГОСТ 25645.146-89ГОСТ 25645.146-89ГОСТ 25645.146-89ГОСТ 25645.146-89ГОСТ 25645.146-89ГОСТ 25645.146-89ГОСТ 25645.146-89ГОСТ 25645.146-89ГОСТ 25645.146-89ГОСТ 25645.146-89ГОСТ 25645.146-89ГОСТ 25645.146-89ГОСТ 25645.146-89ГОСТ 25645.146-89ГОСТ 25645.146-89ГОСТ 25645.146-89ГОСТ 25645.146-89ГОСТ 25645.146-89
 




ГОСТЫ, СТРОИТЕЛЬНЫЕ и ТЕХНИЧЕСКИЕ НОРМАТИВЫ.
Некоммерческая онлайн система, содержащая все Российские Госты, национальные Стандарты и нормативы.
В Системе содержится более 150000 файлов нормативно-технической документации, действующей на территории РФ.
Система предназначена для широкого круга инженерно-технических специалистов.

Рейтинг@Mail.ru Яндекс цитирования

Copyright © www.gostrf.com, 2008 - 2026