Крупнейшая бесплатная информационно-справочная система онлайн доступа к полному собранию технических нормативно-правовых актов РФ. Огромная база технических нормативов (более 150 тысяч документов) и полное собрание национальных стандартов, аутентичное официальной базе Госстандарта. GOSTRF.com - это более 1 Терабайта бесплатной технической информации для всех пользователей интернета. Все электронные копии представленных здесь документов могут распространяться без каких-либо ограничений. Поощряется распространение информации с этого сайта на любых других ресурсах. Каждый человек имеет право на неограниченный доступ к этим документам! Каждый человек имеет право на знание требований, изложенных в данных нормативно-правовых актах!

  


 

ГОСТ Р 50779.26-2007

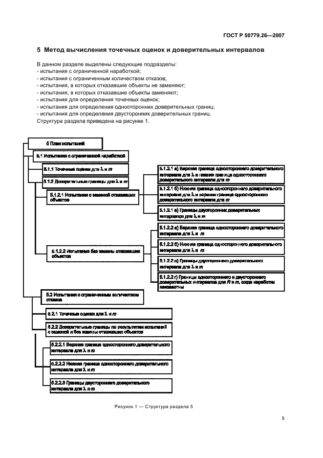
Статистические методы. Точечные оценки, доверительные, предикционные и толерантные интервалы для экспоненциального распределения

Обозначение:ГОСТ Р 50779.26-2007
Текущий статус документа: действующий
Название документа рус.:Статистические методы. Точечные оценки, доверительные, предикционные и толерантные интервалы для экспоненциального распределения
Название документа англ.:Statistical methods. Point estimates, confidence intervals, prediction intervals and tolerance intervals for exponential distribution
Дата актуализации текста:01.12.2013
Дата издания:15.09.2008
Дата введения:31.05.2008
Дата последнего изменения:22.05.2013
Область применения:Настоящий стандарт устанавливает статистические методы определения точечных оценок, доверительных, предикционных и толерантных интервалов для интенсивности отказов объектов, наработки которых на отказ подчиняются экспоненциальному распределению.
Использование методов настоящего стандарта должно сопровождаться проверкой предположений о постоянстве интенсивности отказов или параметра потока отказов.
Настоящий стандарт применим также в случаях, когда объекты случайной выборки подвергают испытаниям с регистрацией наработок до отказа для оценки показателя надежности
ГОСТ Р 50779.26-2007ГОСТ Р 50779.26-2007ГОСТ Р 50779.26-2007ГОСТ Р 50779.26-2007ГОСТ Р 50779.26-2007ГОСТ Р 50779.26-2007ГОСТ Р 50779.26-2007ГОСТ Р 50779.26-2007ГОСТ Р 50779.26-2007ГОСТ Р 50779.26-2007ГОСТ Р 50779.26-2007ГОСТ Р 50779.26-2007ГОСТ Р 50779.26-2007ГОСТ Р 50779.26-2007ГОСТ Р 50779.26-2007ГОСТ Р 50779.26-2007ГОСТ Р 50779.26-2007ГОСТ Р 50779.26-2007ГОСТ Р 50779.26-2007ГОСТ Р 50779.26-2007ГОСТ Р 50779.26-2007ГОСТ Р 50779.26-2007ГОСТ Р 50779.26-2007ГОСТ Р 50779.26-2007ГОСТ Р 50779.26-2007ГОСТ Р 50779.26-2007ГОСТ Р 50779.26-2007ГОСТ Р 50779.26-2007ГОСТ Р 50779.26-2007ГОСТ Р 50779.26-2007ГОСТ Р 50779.26-2007
 




ГОСТЫ, СТРОИТЕЛЬНЫЕ и ТЕХНИЧЕСКИЕ НОРМАТИВЫ.
Некоммерческая онлайн система, содержащая все Российские Госты, национальные Стандарты и нормативы.
В Системе содержится более 150000 файлов нормативно-технической документации, действующей на территории РФ.
Система предназначена для широкого круга инженерно-технических специалистов.

Рейтинг@Mail.ru Яндекс цитирования

Copyright © www.gostrf.com, 2008 - 2026