Крупнейшая бесплатная информационно-справочная система онлайн доступа к полному собранию технических нормативно-правовых актов РФ. Огромная база технических нормативов (более 150 тысяч документов) и полное собрание национальных стандартов, аутентичное официальной базе Госстандарта. GOSTRF.com - это более 1 Терабайта бесплатной технической информации для всех пользователей интернета. Все электронные копии представленных здесь документов могут распространяться без каких-либо ограничений. Поощряется распространение информации с этого сайта на любых других ресурсах. Каждый человек имеет право на неограниченный доступ к этим документам! Каждый человек имеет право на знание требований, изложенных в данных нормативно-правовых актах!

  


 

ГОСТ Р ИСО 10303-521-2008

Системы автоматизации производства и их интеграция. Представление данных об изделии и обмен этими данными. Часть 521. Прикладные интерпретированные конструкции. Подповерхность многообразия

Обозначение:ГОСТ Р ИСО 10303-521-2008
Текущий статус документа: действующий
Название документа рус.:Системы автоматизации производства и их интеграция. Представление данных об изделии и обмен этими данными. Часть 521. Прикладные интерпретированные конструкции. Подповерхность многообразия
Название документа англ.:Industrial automation systems and integration. Product data representation and exchange. Part 521. Application interpreted constructions. Manifold subsurface
Дата актуализации текста:01.12.2013
Дата издания:18.09.2008
Дата введения:01.09.2008
Дата последнего изменения:22.05.2013
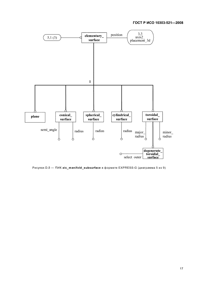
Область применения:Настоящий стандарт определяет интерпретацию интегрированных ресурсов, обеспечивающую соответствие требованиям к определению представления формы, содержащей незамкнутые оболочки, определенные как подмножества связанных граней.
Требования настоящего стандарта распространяются на:
- трехмерную геометрию;
- расширенные грани;
- подмножества связанных граней;
- отображения и геометрические преобразования;
- незамкнутые оболочки;
- взаимосвязи между областями определения топологических объектов;
- подребра;
- подграни;
- неограниченную геометрию со связанными топологическими границами;
- использование топологии для ограничения геометрических объектов.
Требования настоящего стандарта не распространяются на:
- двухмерную геометрию, кроме определения параметрических кривых в параметрическом пространстве поверхности;
- трехмерные модели граничного представления;
- ограниченные кривые, кроме полилиний и би-сплайновых кривых;
- ограниченные поверхности, кроме би-сплайновых поверхностей;
- геометрию не многообразий;
- вынесенные кривые и поверхности;
- неограниченную геометрию без топологических границ
ГОСТ Р ИСО 10303-521-2008ГОСТ Р ИСО 10303-521-2008ГОСТ Р ИСО 10303-521-2008ГОСТ Р ИСО 10303-521-2008ГОСТ Р ИСО 10303-521-2008ГОСТ Р ИСО 10303-521-2008ГОСТ Р ИСО 10303-521-2008ГОСТ Р ИСО 10303-521-2008ГОСТ Р ИСО 10303-521-2008ГОСТ Р ИСО 10303-521-2008ГОСТ Р ИСО 10303-521-2008ГОСТ Р ИСО 10303-521-2008ГОСТ Р ИСО 10303-521-2008ГОСТ Р ИСО 10303-521-2008ГОСТ Р ИСО 10303-521-2008ГОСТ Р ИСО 10303-521-2008ГОСТ Р ИСО 10303-521-2008ГОСТ Р ИСО 10303-521-2008ГОСТ Р ИСО 10303-521-2008ГОСТ Р ИСО 10303-521-2008ГОСТ Р ИСО 10303-521-2008ГОСТ Р ИСО 10303-521-2008ГОСТ Р ИСО 10303-521-2008ГОСТ Р ИСО 10303-521-2008ГОСТ Р ИСО 10303-521-2008ГОСТ Р ИСО 10303-521-2008ГОСТ Р ИСО 10303-521-2008ГОСТ Р ИСО 10303-521-2008ГОСТ Р ИСО 10303-521-2008ГОСТ Р ИСО 10303-521-2008ГОСТ Р ИСО 10303-521-2008ГОСТ Р ИСО 10303-521-2008
 




ГОСТЫ, СТРОИТЕЛЬНЫЕ и ТЕХНИЧЕСКИЕ НОРМАТИВЫ.
Некоммерческая онлайн система, содержащая все Российские Госты, национальные Стандарты и нормативы.
В Системе содержится более 150000 файлов нормативно-технической документации, действующей на территории РФ.
Система предназначена для широкого круга инженерно-технических специалистов.

Рейтинг@Mail.ru Яндекс цитирования

Copyright © www.gostrf.com, 2008 - 2026