Крупнейшая бесплатная информационно-справочная система онлайн доступа к полному собранию технических нормативно-правовых актов РФ. Огромная база технических нормативов (более 150 тысяч документов) и полное собрание национальных стандартов, аутентичное официальной базе Госстандарта. GOSTRF.com - это более 1 Терабайта бесплатной технической информации для всех пользователей интернета. Все электронные копии представленных здесь документов могут распространяться без каких-либо ограничений. Поощряется распространение информации с этого сайта на любых других ресурсах. Каждый человек имеет право на неограниченный доступ к этим документам! Каждый человек имеет право на знание требований, изложенных в данных нормативно-правовых актах!

  


 

ГОСТ 15763-2005

Соединения трубопроводов резьбовые и фланцевые на PN (Py) до 63 МПа (до около 630 кгс/см кв.). Общие технические условия

Обозначение:ГОСТ 15763-2005
Текущий статус документа: действующий
Название документа рус.:Соединения трубопроводов резьбовые и фланцевые на PN (Py) до 63 МПа (до около 630 кгс/см кв.). Общие технические условия
Название документа англ.:Threaded and flange pipe connections for PN to 63 MPa (to 630 kgf/sq sm). General specifications
Дата актуализации текста:01.12.2013
Дата издания:27.10.2008
Дата введения:01.01.2009
Дата последнего изменения:22.05.2013
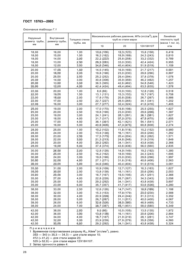
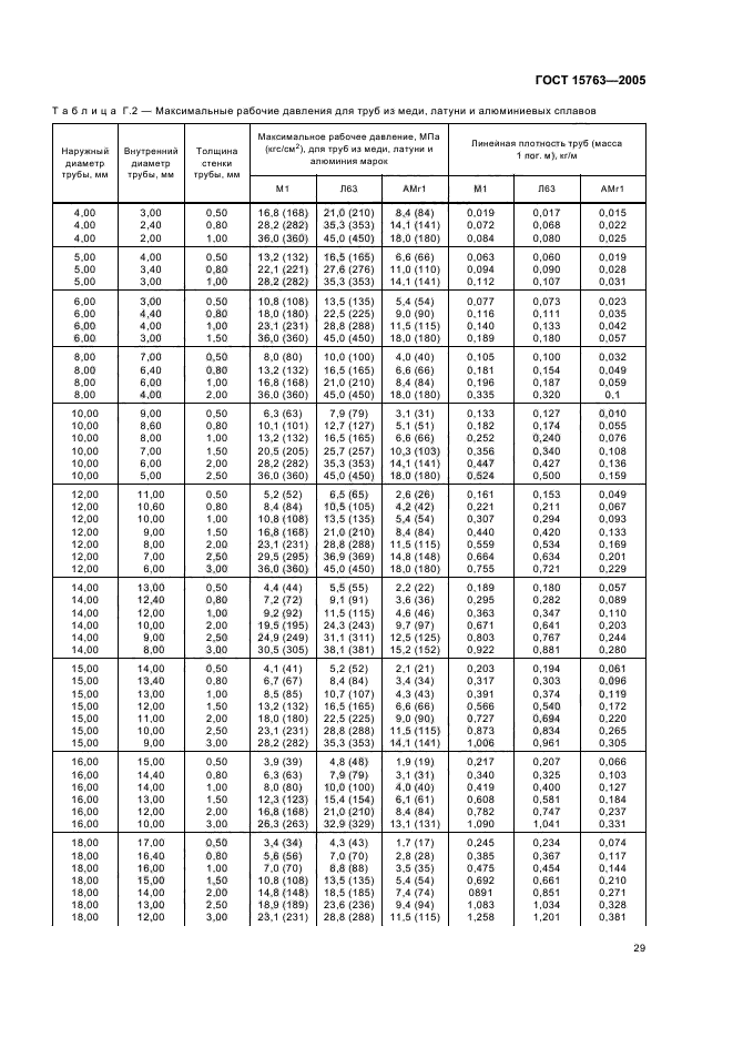
Область применения:Настоящий стандарт распространяется на металлические резьбовые и фланцевые с приварным ниппелем соединения трубопроводов общемашиностроительного применения для гидравлических и пневматических систем и детали данных соединений трубопроводов, работающие в условиях неагрессивных сред при температуре окружающей и рабочей среды от минус 50 град. С до плюс 120 град. С и номинальном (условном) давлении до 63 МПа (до около 630 кгс/см кв.).
Стандарт не распространяется на фланцевые соединения по ГОСТ 9399, ГОСТ 12815 - ГОСТ 12822, ГОСТ 22512
Список изменений:№0 от 27.11.2009 (рег. 27.11.2009) «Дата введения перенесена»
ГОСТ 15763-2005ГОСТ 15763-2005ГОСТ 15763-2005ГОСТ 15763-2005ГОСТ 15763-2005ГОСТ 15763-2005ГОСТ 15763-2005ГОСТ 15763-2005ГОСТ 15763-2005ГОСТ 15763-2005ГОСТ 15763-2005ГОСТ 15763-2005ГОСТ 15763-2005ГОСТ 15763-2005ГОСТ 15763-2005ГОСТ 15763-2005ГОСТ 15763-2005ГОСТ 15763-2005ГОСТ 15763-2005ГОСТ 15763-2005ГОСТ 15763-2005ГОСТ 15763-2005ГОСТ 15763-2005ГОСТ 15763-2005ГОСТ 15763-2005ГОСТ 15763-2005ГОСТ 15763-2005ГОСТ 15763-2005ГОСТ 15763-2005ГОСТ 15763-2005ГОСТ 15763-2005ГОСТ 15763-2005ГОСТ 15763-2005ГОСТ 15763-2005ГОСТ 15763-2005ГОСТ 15763-2005ГОСТ 15763-2005ГОСТ 15763-2005ГОСТ 15763-2005
 




ГОСТЫ, СТРОИТЕЛЬНЫЕ и ТЕХНИЧЕСКИЕ НОРМАТИВЫ.
Некоммерческая онлайн система, содержащая все Российские Госты, национальные Стандарты и нормативы.
В Системе содержится более 150000 файлов нормативно-технической документации, действующей на территории РФ.
Система предназначена для широкого круга инженерно-технических специалистов.

Рейтинг@Mail.ru Яндекс цитирования

Copyright © www.gostrf.com, 2008 - 2026