Крупнейшая бесплатная информационно-справочная система онлайн доступа к полному собранию технических нормативно-правовых актов РФ. Огромная база технических нормативов (более 150 тысяч документов) и полное собрание национальных стандартов, аутентичное официальной базе Госстандарта. GOSTRF.com - это более 1 Терабайта бесплатной технической информации для всех пользователей интернета. Все электронные копии представленных здесь документов могут распространяться без каких-либо ограничений. Поощряется распространение информации с этого сайта на любых других ресурсах. Каждый человек имеет право на неограниченный доступ к этим документам! Каждый человек имеет право на знание требований, изложенных в данных нормативно-правовых актах!

  


 

ГОСТ Р 52946-2008

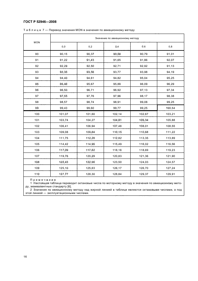
Нефтепродукты. Определение детонационных характеристик моторных и авиационных топлив. Моторный метод

Обозначение:ГОСТ Р 52946-2008
Текущий статус документа: действующий
Название документа рус.:Нефтепродукты. Определение детонационных характеристик моторных и авиационных топлив. Моторный метод
Название документа англ.:Petroleum products. Determination of knock characteristics of motor and aviation fuels. Motor method
Дата актуализации текста:01.12.2013
Дата издания:14.11.2008
Дата введения:01.01.2009
Дата последнего изменения:22.05.2013
Область применения:Настоящий стандарт устанавливает метод оценки детонационных характеристик жидкого топлива для двигателей с искровым зажиганием с помощью условной шкалы октановых чисел, используя одноцилиндровый четырехтактный карбюраторный с переменной степенью сжатия двигатель CFR, работающий с постоянной скоростью, или отечественный двигатель типа УИТ-85М. Определение октанового числа по моторному методу (MON) предусматривает измерение детонационных характеристик моторных топлив в автомобильных двигателях в жестких условиях эксплуатации, а также позволяет измерять детонационные характеристики авиационных топлив в авиационных поршневых двигателях, применяя уравнение корреляции к октановому числу по авиационному методу или к определенному экспериментально октановому числу (октановое число для обедненной смеси по авиационному методу)
ГОСТ Р 52946-2008ГОСТ Р 52946-2008ГОСТ Р 52946-2008ГОСТ Р 52946-2008ГОСТ Р 52946-2008ГОСТ Р 52946-2008ГОСТ Р 52946-2008ГОСТ Р 52946-2008ГОСТ Р 52946-2008ГОСТ Р 52946-2008ГОСТ Р 52946-2008ГОСТ Р 52946-2008ГОСТ Р 52946-2008ГОСТ Р 52946-2008ГОСТ Р 52946-2008ГОСТ Р 52946-2008ГОСТ Р 52946-2008ГОСТ Р 52946-2008ГОСТ Р 52946-2008ГОСТ Р 52946-2008ГОСТ Р 52946-2008ГОСТ Р 52946-2008
 




ГОСТЫ, СТРОИТЕЛЬНЫЕ и ТЕХНИЧЕСКИЕ НОРМАТИВЫ.
Некоммерческая онлайн система, содержащая все Российские Госты, национальные Стандарты и нормативы.
В Системе содержится более 150000 файлов нормативно-технической документации, действующей на территории РФ.
Система предназначена для широкого круга инженерно-технических специалистов.

Рейтинг@Mail.ru Яндекс цитирования

Copyright © www.gostrf.com, 2008 - 2026