Крупнейшая бесплатная информационно-справочная система онлайн доступа к полному собранию технических нормативно-правовых актов РФ. Огромная база технических нормативов (более 150 тысяч документов) и полное собрание национальных стандартов, аутентичное официальной базе Госстандарта. GOSTRF.com - это более 1 Терабайта бесплатной технической информации для всех пользователей интернета. Все электронные копии представленных здесь документов могут распространяться без каких-либо ограничений. Поощряется распространение информации с этого сайта на любых других ресурсах. Каждый человек имеет право на неограниченный доступ к этим документам! Каждый человек имеет право на знание требований, изложенных в данных нормативно-правовых актах!

  


 

ГОСТ Р ИСО/МЭК 19785-1-2008

Автоматическая идентификация. Идентификация биометрическая. Единая структура форматов обмена биометрическими данными. Часть 1. Спецификация элементов данных

Обозначение:ГОСТ Р ИСО/МЭК 19785-1-2008
Текущий статус документа: действующий
Название документа рус.:Автоматическая идентификация. Идентификация биометрическая. Единая структура форматов обмена биометрическими данными. Часть 1. Спецификация элементов данных
Название документа англ.:Automatic identification. Biometrics. Common biometric exchange formats framework. Part 1. Data element specification
Дата актуализации текста:01.12.2013
Дата издания:13.11.2008
Дата введения:01.07.2009
Дата последнего изменения:22.05.2013
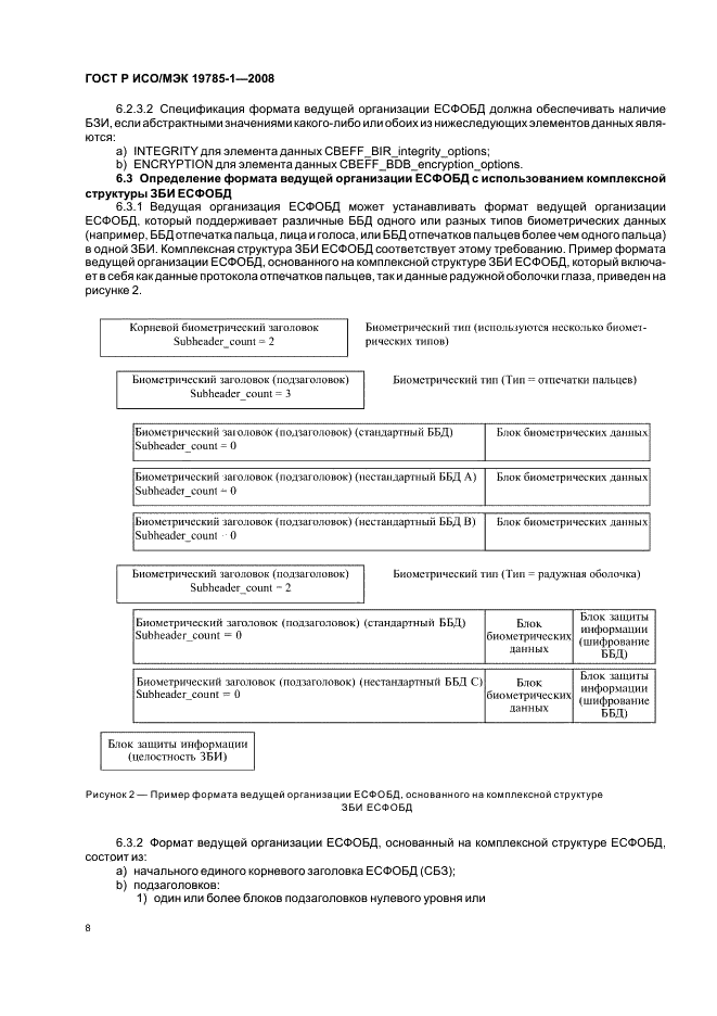
Область применения:Единая структура форматов обмена биометрическими данными (ЕСФОБД) предназначена для обеспечения взаимодействия программных и аппаратных средств, предназначенных для применения в области биометрии, путем установления стандартных записей биометрической информации (ЗБИ) и совокупности элементов и значений абстрактных данных, которые используют для создания заголовка ЗБИ.
Настоящий стандарт устанавливает правила использования элементов данных ЕСФОБД ведущей организации ЕСФОБД для определения содержания и способов записи стандартного биометрического заголовка, включаемого в запись биометрической информации (например, определение формата ведущей организации ЕСФОБД).
Настоящий стандарт не распространяется на способы записи абстрактных значений элементов данных ЕСФОБД, которые используются в спецификациях форматов ведущих организаций ЕСФОБД.
Настоящий стандарт не распространяется на область защиты интересов граждан от ненадлежащего распространения и использования персональных биометрических данных. Данная область может являться объектом государственного регулирования
ГОСТ Р ИСО/МЭК 19785-1-2008ГОСТ Р ИСО/МЭК 19785-1-2008ГОСТ Р ИСО/МЭК 19785-1-2008ГОСТ Р ИСО/МЭК 19785-1-2008ГОСТ Р ИСО/МЭК 19785-1-2008ГОСТ Р ИСО/МЭК 19785-1-2008ГОСТ Р ИСО/МЭК 19785-1-2008ГОСТ Р ИСО/МЭК 19785-1-2008ГОСТ Р ИСО/МЭК 19785-1-2008ГОСТ Р ИСО/МЭК 19785-1-2008ГОСТ Р ИСО/МЭК 19785-1-2008ГОСТ Р ИСО/МЭК 19785-1-2008ГОСТ Р ИСО/МЭК 19785-1-2008ГОСТ Р ИСО/МЭК 19785-1-2008ГОСТ Р ИСО/МЭК 19785-1-2008ГОСТ Р ИСО/МЭК 19785-1-2008ГОСТ Р ИСО/МЭК 19785-1-2008ГОСТ Р ИСО/МЭК 19785-1-2008ГОСТ Р ИСО/МЭК 19785-1-2008ГОСТ Р ИСО/МЭК 19785-1-2008ГОСТ Р ИСО/МЭК 19785-1-2008ГОСТ Р ИСО/МЭК 19785-1-2008ГОСТ Р ИСО/МЭК 19785-1-2008ГОСТ Р ИСО/МЭК 19785-1-2008ГОСТ Р ИСО/МЭК 19785-1-2008ГОСТ Р ИСО/МЭК 19785-1-2008ГОСТ Р ИСО/МЭК 19785-1-2008ГОСТ Р ИСО/МЭК 19785-1-2008ГОСТ Р ИСО/МЭК 19785-1-2008ГОСТ Р ИСО/МЭК 19785-1-2008ГОСТ Р ИСО/МЭК 19785-1-2008ГОСТ Р ИСО/МЭК 19785-1-2008ГОСТ Р ИСО/МЭК 19785-1-2008ГОСТ Р ИСО/МЭК 19785-1-2008ГОСТ Р ИСО/МЭК 19785-1-2008
 




ГОСТЫ, СТРОИТЕЛЬНЫЕ и ТЕХНИЧЕСКИЕ НОРМАТИВЫ.
Некоммерческая онлайн система, содержащая все Российские Госты, национальные Стандарты и нормативы.
В Системе содержится более 150000 файлов нормативно-технической документации, действующей на территории РФ.
Система предназначена для широкого круга инженерно-технических специалистов.

Рейтинг@Mail.ru Яндекс цитирования

Copyright © www.gostrf.com, 2008 - 2026