Крупнейшая бесплатная информационно-справочная система онлайн доступа к полному собранию технических нормативно-правовых актов РФ. Огромная база технических нормативов (более 150 тысяч документов) и полное собрание национальных стандартов, аутентичное официальной базе Госстандарта. GOSTRF.com - это более 1 Терабайта бесплатной технической информации для всех пользователей интернета. Все электронные копии представленных здесь документов могут распространяться без каких-либо ограничений. Поощряется распространение информации с этого сайта на любых других ресурсах. Каждый человек имеет право на неограниченный доступ к этим документам! Каждый человек имеет право на знание требований, изложенных в данных нормативно-правовых актах!

  


 

ГОСТ Р ИСО 10328-2007

Протезирование. Испытания конструкции протезов нижних конечностей. Требования и методы испытаний

Обозначение:ГОСТ Р ИСО 10328-2007
Текущий статус документа: действующий
Название документа рус.:Протезирование. Испытания конструкции протезов нижних конечностей. Требования и методы испытаний
Название документа англ.:Prosthetics. Structural testing of lower-limb prostheses. Requirements and test methods
Дата актуализации текста:01.12.2013
Дата издания:29.01.2009
Дата введения:01.01.2009
Дата последнего изменения:22.05.2013
Взамен:
Область применения:Настоящий стандарт пригоден для оценки соответствия протезных устройств нижних конечностей требованиям прочности, установленным в ИСО 22523.
Настоящий стандарт не пригоден для использования в качестве руководства при назначении конкретного протезного устройства нижней конечности индивидуального изготовления.
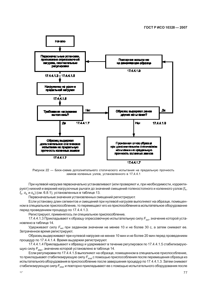
Настоящий стандарт устанавливает статические и циклические испытания на прочность протезных устройств нижних конечностей, при которых сложные нагружения воспроизводят приложением единственной испытательной силы. Сложные нагрузки на испытываемый образец соответствуют пиковым значениям нагрузок, которые обычно возникают в различные моменты фазы опоры при ходьбе
ГОСТ Р ИСО 10328-2007ГОСТ Р ИСО 10328-2007ГОСТ Р ИСО 10328-2007ГОСТ Р ИСО 10328-2007ГОСТ Р ИСО 10328-2007ГОСТ Р ИСО 10328-2007ГОСТ Р ИСО 10328-2007ГОСТ Р ИСО 10328-2007ГОСТ Р ИСО 10328-2007ГОСТ Р ИСО 10328-2007ГОСТ Р ИСО 10328-2007ГОСТ Р ИСО 10328-2007ГОСТ Р ИСО 10328-2007ГОСТ Р ИСО 10328-2007ГОСТ Р ИСО 10328-2007ГОСТ Р ИСО 10328-2007ГОСТ Р ИСО 10328-2007ГОСТ Р ИСО 10328-2007ГОСТ Р ИСО 10328-2007ГОСТ Р ИСО 10328-2007ГОСТ Р ИСО 10328-2007ГОСТ Р ИСО 10328-2007ГОСТ Р ИСО 10328-2007ГОСТ Р ИСО 10328-2007ГОСТ Р ИСО 10328-2007ГОСТ Р ИСО 10328-2007ГОСТ Р ИСО 10328-2007ГОСТ Р ИСО 10328-2007ГОСТ Р ИСО 10328-2007ГОСТ Р ИСО 10328-2007ГОСТ Р ИСО 10328-2007ГОСТ Р ИСО 10328-2007ГОСТ Р ИСО 10328-2007ГОСТ Р ИСО 10328-2007ГОСТ Р ИСО 10328-2007ГОСТ Р ИСО 10328-2007ГОСТ Р ИСО 10328-2007ГОСТ Р ИСО 10328-2007ГОСТ Р ИСО 10328-2007ГОСТ Р ИСО 10328-2007ГОСТ Р ИСО 10328-2007ГОСТ Р ИСО 10328-2007ГОСТ Р ИСО 10328-2007ГОСТ Р ИСО 10328-2007ГОСТ Р ИСО 10328-2007ГОСТ Р ИСО 10328-2007ГОСТ Р ИСО 10328-2007ГОСТ Р ИСО 10328-2007ГОСТ Р ИСО 10328-2007ГОСТ Р ИСО 10328-2007ГОСТ Р ИСО 10328-2007ГОСТ Р ИСО 10328-2007ГОСТ Р ИСО 10328-2007ГОСТ Р ИСО 10328-2007ГОСТ Р ИСО 10328-2007ГОСТ Р ИСО 10328-2007ГОСТ Р ИСО 10328-2007ГОСТ Р ИСО 10328-2007ГОСТ Р ИСО 10328-2007ГОСТ Р ИСО 10328-2007ГОСТ Р ИСО 10328-2007ГОСТ Р ИСО 10328-2007ГОСТ Р ИСО 10328-2007ГОСТ Р ИСО 10328-2007ГОСТ Р ИСО 10328-2007ГОСТ Р ИСО 10328-2007ГОСТ Р ИСО 10328-2007ГОСТ Р ИСО 10328-2007ГОСТ Р ИСО 10328-2007ГОСТ Р ИСО 10328-2007ГОСТ Р ИСО 10328-2007ГОСТ Р ИСО 10328-2007ГОСТ Р ИСО 10328-2007ГОСТ Р ИСО 10328-2007ГОСТ Р ИСО 10328-2007ГОСТ Р ИСО 10328-2007ГОСТ Р ИСО 10328-2007ГОСТ Р ИСО 10328-2007ГОСТ Р ИСО 10328-2007ГОСТ Р ИСО 10328-2007ГОСТ Р ИСО 10328-2007ГОСТ Р ИСО 10328-2007ГОСТ Р ИСО 10328-2007ГОСТ Р ИСО 10328-2007ГОСТ Р ИСО 10328-2007ГОСТ Р ИСО 10328-2007ГОСТ Р ИСО 10328-2007ГОСТ Р ИСО 10328-2007ГОСТ Р ИСО 10328-2007ГОСТ Р ИСО 10328-2007ГОСТ Р ИСО 10328-2007ГОСТ Р ИСО 10328-2007ГОСТ Р ИСО 10328-2007ГОСТ Р ИСО 10328-2007ГОСТ Р ИСО 10328-2007ГОСТ Р ИСО 10328-2007ГОСТ Р ИСО 10328-2007ГОСТ Р ИСО 10328-2007ГОСТ Р ИСО 10328-2007ГОСТ Р ИСО 10328-2007ГОСТ Р ИСО 10328-2007ГОСТ Р ИСО 10328-2007ГОСТ Р ИСО 10328-2007ГОСТ Р ИСО 10328-2007ГОСТ Р ИСО 10328-2007ГОСТ Р ИСО 10328-2007ГОСТ Р ИСО 10328-2007ГОСТ Р ИСО 10328-2007ГОСТ Р ИСО 10328-2007ГОСТ Р ИСО 10328-2007ГОСТ Р ИСО 10328-2007ГОСТ Р ИСО 10328-2007ГОСТ Р ИСО 10328-2007ГОСТ Р ИСО 10328-2007ГОСТ Р ИСО 10328-2007ГОСТ Р ИСО 10328-2007ГОСТ Р ИСО 10328-2007ГОСТ Р ИСО 10328-2007ГОСТ Р ИСО 10328-2007ГОСТ Р ИСО 10328-2007ГОСТ Р ИСО 10328-2007ГОСТ Р ИСО 10328-2007
 




ГОСТЫ, СТРОИТЕЛЬНЫЕ и ТЕХНИЧЕСКИЕ НОРМАТИВЫ.
Некоммерческая онлайн система, содержащая все Российские Госты, национальные Стандарты и нормативы.
В Системе содержится более 150000 файлов нормативно-технической документации, действующей на территории РФ.
Система предназначена для широкого круга инженерно-технических специалистов.

Рейтинг@Mail.ru Яндекс цитирования

Copyright © www.gostrf.com, 2008 - 2026