Крупнейшая бесплатная информационно-справочная система онлайн доступа к полному собранию технических нормативно-правовых актов РФ. Огромная база технических нормативов (более 150 тысяч документов) и полное собрание национальных стандартов, аутентичное официальной базе Госстандарта. GOSTRF.com - это более 1 Терабайта бесплатной технической информации для всех пользователей интернета. Все электронные копии представленных здесь документов могут распространяться без каких-либо ограничений. Поощряется распространение информации с этого сайта на любых других ресурсах. Каждый человек имеет право на неограниченный доступ к этим документам! Каждый человек имеет право на знание требований, изложенных в данных нормативно-правовых актах!

  


 

ГОСТ Р 52948-2008

Фитинги из меди и медных сплавов для соединения медных труб способом прессования. Технические условия

Обозначение:ГОСТ Р 52948-2008
Текущий статус документа: действующий
Название документа рус.:Фитинги из меди и медных сплавов для соединения медных труб способом прессования. Технические условия
Название документа англ.:Fittings from copper and copper alloys with compression ends for use with copper tubes. Specifications
Дата актуализации текста:01.12.2013
Дата издания:22.12.2008
Дата введения:30.06.2009
Дата последнего изменения:22.05.2013
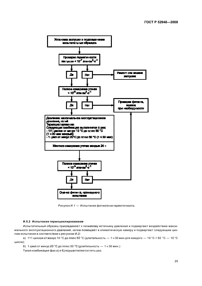
Область применения:Настоящий стандарт распространяется на фитинги из меди и медных сплавов, предназначенные для соединения способом прессования медных труб, изготовленных по ГОСТ Р 52318, и устанавливает требования к пресс-соединениям, используемым при монтаже трубопроводов в системах питьевого водоснабжения, холодного и горячего водоснабжения, водяного (парового) отопления, канализации, водоочистных сооружений, газоснабжения, а также в нагревательных и охлаждающих системах.
Стандарт устанавливает допустимые эксплуатационные температуры, максимальное эксплуатационное давление, сортамент, технические требования, правила приемки, методы контроля и испытаний, маркировку и упаковку фитингов
Список изменений:№1 от 01.05.2011 (рег. 21.01.2011) «Текстовое изменение; Изменены ссылочные НД»
Приложение №1:Изменение №1 к ГОСТ Р 52948-2008
ГОСТ Р 52948-2008ГОСТ Р 52948-2008ГОСТ Р 52948-2008ГОСТ Р 52948-2008ГОСТ Р 52948-2008ГОСТ Р 52948-2008ГОСТ Р 52948-2008ГОСТ Р 52948-2008ГОСТ Р 52948-2008ГОСТ Р 52948-2008ГОСТ Р 52948-2008ГОСТ Р 52948-2008ГОСТ Р 52948-2008ГОСТ Р 52948-2008ГОСТ Р 52948-2008ГОСТ Р 52948-2008ГОСТ Р 52948-2008ГОСТ Р 52948-2008ГОСТ Р 52948-2008ГОСТ Р 52948-2008ГОСТ Р 52948-2008ГОСТ Р 52948-2008ГОСТ Р 52948-2008ГОСТ Р 52948-2008ГОСТ Р 52948-2008ГОСТ Р 52948-2008ГОСТ Р 52948-2008ГОСТ Р 52948-2008ГОСТ Р 52948-2008ГОСТ Р 52948-2008ГОСТ Р 52948-2008ГОСТ Р 52948-2008ГОСТ Р 52948-2008ГОСТ Р 52948-2008ГОСТ Р 52948-2008ГОСТ Р 52948-2008ГОСТ Р 52948-2008ГОСТ Р 52948-2008ГОСТ Р 52948-2008ГОСТ Р 52948-2008

Изменение №1 к ГОСТ Р 52948-2008

Обозначение:Изменение №1 к ГОСТ Р 52948-2008
Дата введения:01.05.2011


Изменение №1 к ГОСТ Р 52948-2008
 




ГОСТЫ, СТРОИТЕЛЬНЫЕ и ТЕХНИЧЕСКИЕ НОРМАТИВЫ.
Некоммерческая онлайн система, содержащая все Российские Госты, национальные Стандарты и нормативы.
В Системе содержится более 150000 файлов нормативно-технической документации, действующей на территории РФ.
Система предназначена для широкого круга инженерно-технических специалистов.

Рейтинг@Mail.ru Яндекс цитирования

Copyright © www.gostrf.com, 2008 - 2026