Крупнейшая бесплатная информационно-справочная система онлайн доступа к полному собранию технических нормативно-правовых актов РФ. Огромная база технических нормативов (более 150 тысяч документов) и полное собрание национальных стандартов, аутентичное официальной базе Госстандарта. GOSTRF.com - это более 1 Терабайта бесплатной технической информации для всех пользователей интернета. Все электронные копии представленных здесь документов могут распространяться без каких-либо ограничений. Поощряется распространение информации с этого сайта на любых других ресурсах. Каждый человек имеет право на неограниченный доступ к этим документам! Каждый человек имеет право на знание требований, изложенных в данных нормативно-правовых актах!

  


 

ГОСТ Р 53037-2008

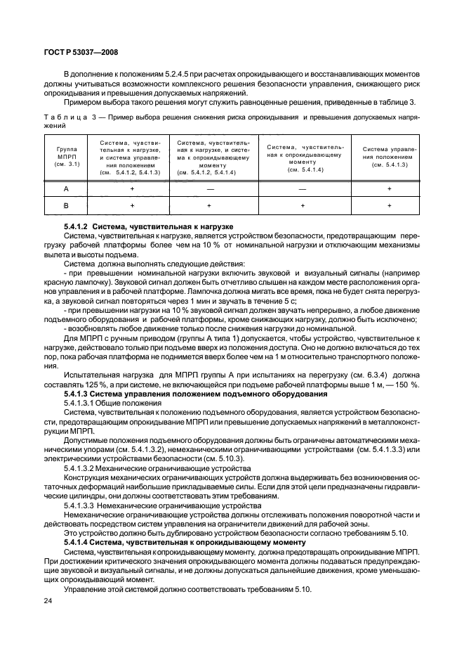
Мобильные подъемники с рабочими платформами. Расчеты конструкции, требования безопасности, испытания

Обозначение:ГОСТ Р 53037-2008
Текущий статус документа: действующий
Название документа рус.:Мобильные подъемники с рабочими платформами. Расчеты конструкции, требования безопасности, испытания
Название документа англ.:Mobile elevating work platforms. Design calculations, safety requirements, tests
Дата актуализации текста:01.12.2013
Дата издания:02.04.2009
Дата введения:30.06.2009
Дата последнего изменения:22.05.2013
Область применения:Настоящий стандарт устанавливает требования, обеспечивающие единство проектирования, расчетов и испытания всех типов мобильных подъемников с рабочими платформами (МПРП) для обеспечения их безопасного применения.
Настоящий стандарт применяется при конструкторских расчетах металлоконструкций, критерия устойчивости, испытаниях и проверках безопасности перед пуском МПРП в работу. Стандарт определяет опасные факторы, возникающие при эксплуатации МПРП, и описывает методы устранения или снижения этих факторов
ГОСТ Р 53037-2008ГОСТ Р 53037-2008ГОСТ Р 53037-2008ГОСТ Р 53037-2008ГОСТ Р 53037-2008ГОСТ Р 53037-2008ГОСТ Р 53037-2008ГОСТ Р 53037-2008ГОСТ Р 53037-2008ГОСТ Р 53037-2008ГОСТ Р 53037-2008ГОСТ Р 53037-2008ГОСТ Р 53037-2008ГОСТ Р 53037-2008ГОСТ Р 53037-2008ГОСТ Р 53037-2008ГОСТ Р 53037-2008ГОСТ Р 53037-2008ГОСТ Р 53037-2008ГОСТ Р 53037-2008ГОСТ Р 53037-2008ГОСТ Р 53037-2008ГОСТ Р 53037-2008ГОСТ Р 53037-2008ГОСТ Р 53037-2008ГОСТ Р 53037-2008ГОСТ Р 53037-2008ГОСТ Р 53037-2008ГОСТ Р 53037-2008ГОСТ Р 53037-2008ГОСТ Р 53037-2008ГОСТ Р 53037-2008ГОСТ Р 53037-2008ГОСТ Р 53037-2008ГОСТ Р 53037-2008ГОСТ Р 53037-2008ГОСТ Р 53037-2008ГОСТ Р 53037-2008ГОСТ Р 53037-2008ГОСТ Р 53037-2008ГОСТ Р 53037-2008ГОСТ Р 53037-2008ГОСТ Р 53037-2008ГОСТ Р 53037-2008ГОСТ Р 53037-2008ГОСТ Р 53037-2008ГОСТ Р 53037-2008ГОСТ Р 53037-2008ГОСТ Р 53037-2008ГОСТ Р 53037-2008ГОСТ Р 53037-2008ГОСТ Р 53037-2008ГОСТ Р 53037-2008ГОСТ Р 53037-2008ГОСТ Р 53037-2008ГОСТ Р 53037-2008ГОСТ Р 53037-2008ГОСТ Р 53037-2008ГОСТ Р 53037-2008ГОСТ Р 53037-2008ГОСТ Р 53037-2008ГОСТ Р 53037-2008ГОСТ Р 53037-2008ГОСТ Р 53037-2008ГОСТ Р 53037-2008ГОСТ Р 53037-2008ГОСТ Р 53037-2008ГОСТ Р 53037-2008ГОСТ Р 53037-2008ГОСТ Р 53037-2008ГОСТ Р 53037-2008ГОСТ Р 53037-2008ГОСТ Р 53037-2008ГОСТ Р 53037-2008ГОСТ Р 53037-2008ГОСТ Р 53037-2008ГОСТ Р 53037-2008ГОСТ Р 53037-2008ГОСТ Р 53037-2008ГОСТ Р 53037-2008ГОСТ Р 53037-2008ГОСТ Р 53037-2008ГОСТ Р 53037-2008ГОСТ Р 53037-2008ГОСТ Р 53037-2008ГОСТ Р 53037-2008ГОСТ Р 53037-2008ГОСТ Р 53037-2008ГОСТ Р 53037-2008ГОСТ Р 53037-2008ГОСТ Р 53037-2008
 




ГОСТЫ, СТРОИТЕЛЬНЫЕ и ТЕХНИЧЕСКИЕ НОРМАТИВЫ.
Некоммерческая онлайн система, содержащая все Российские Госты, национальные Стандарты и нормативы.
В Системе содержится более 150000 файлов нормативно-технической документации, действующей на территории РФ.
Система предназначена для широкого круга инженерно-технических специалистов.

Рейтинг@Mail.ru Яндекс цитирования

Copyright © www.gostrf.com, 2008 - 2026