Крупнейшая бесплатная информационно-справочная система онлайн доступа к полному собранию технических нормативно-правовых актов РФ. Огромная база технических нормативов (более 150 тысяч документов) и полное собрание национальных стандартов, аутентичное официальной базе Госстандарта. GOSTRF.com - это более 1 Терабайта бесплатной технической информации для всех пользователей интернета. Все электронные копии представленных здесь документов могут распространяться без каких-либо ограничений. Поощряется распространение информации с этого сайта на любых других ресурсах. Каждый человек имеет право на неограниченный доступ к этим документам! Каждый человек имеет право на знание требований, изложенных в данных нормативно-правовых актах!

  


 

ГОСТ Р ИСО/ТО 8550-2-2008

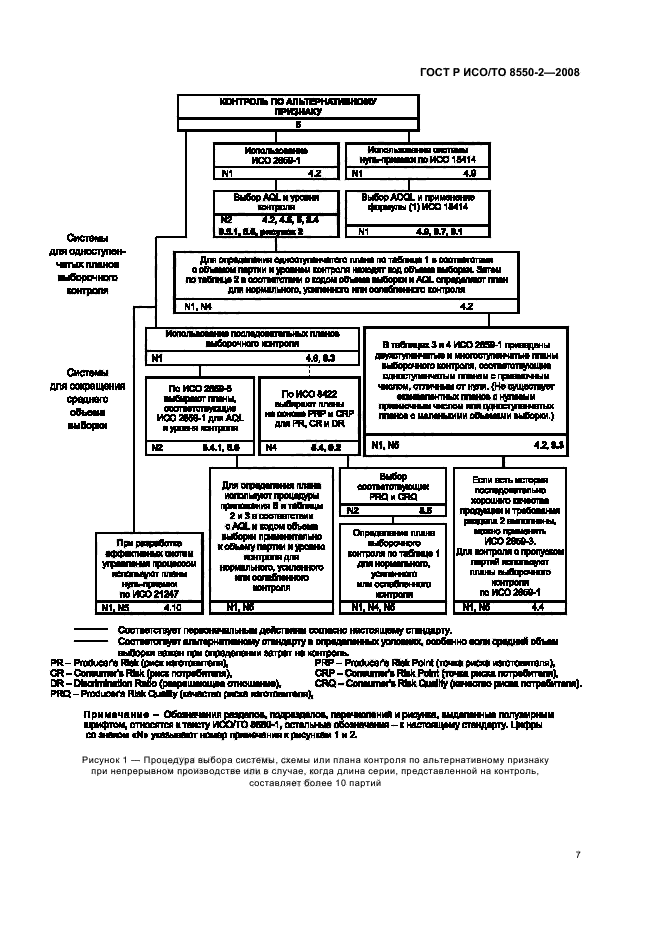
Статистические методы. Руководство по выбору и применению систем статистического приемочного контроля дискретных единиц продукции в партиях. Часть 2. Выборочный контроль по альтернативному признаку

Обозначение:ГОСТ Р ИСО/ТО 8550-2-2008
Текущий статус документа: действующий
Название документа рус.:Статистические методы. Руководство по выбору и применению систем статистического приемочного контроля дискретных единиц продукции в партиях. Часть 2. Выборочный контроль по альтернативному признаку
Название документа англ.:Statistical methods. Guide to the selection and usage of acceptance sampling systems of discrete items in lots. Part 2. Sampling by attributes
Дата актуализации текста:01.12.2013
Дата издания:23.03.2009
Дата введения:01.12.2009
Дата последнего изменения:22.05.2013
Область применения:В настоящем стандарте рассмотрен статистический приемочный контроль продукции, поставляемой в партиях. Каждая единица продукции в партии может быть идентифицирована и отделена от других единиц продукции. Каждая единица продукции имеет установленные характеристики качества, которые являются измеримыми и поддаются классификации как соответствующие или несоответствующие установленным требованиям.
Стандарты на статистический приемочный контроль по альтернативному признаку применимы к большому спектру объектов контроля, а именно: готовые единицы продукции или сборочные единицы; компоненты и сырье; услуги; материалы для производственного процесса; поставки на хранение; процедуры технического обслуживания; данные или отчеты; процедуры управления.
Стандарт применим к выбору системы, схемы и плана выборочного контроля для всех типов продукции и процессов согласно ИСО 9000
ГОСТ Р ИСО/ТО 8550-2-2008ГОСТ Р ИСО/ТО 8550-2-2008ГОСТ Р ИСО/ТО 8550-2-2008ГОСТ Р ИСО/ТО 8550-2-2008ГОСТ Р ИСО/ТО 8550-2-2008ГОСТ Р ИСО/ТО 8550-2-2008ГОСТ Р ИСО/ТО 8550-2-2008ГОСТ Р ИСО/ТО 8550-2-2008ГОСТ Р ИСО/ТО 8550-2-2008ГОСТ Р ИСО/ТО 8550-2-2008ГОСТ Р ИСО/ТО 8550-2-2008ГОСТ Р ИСО/ТО 8550-2-2008ГОСТ Р ИСО/ТО 8550-2-2008ГОСТ Р ИСО/ТО 8550-2-2008ГОСТ Р ИСО/ТО 8550-2-2008ГОСТ Р ИСО/ТО 8550-2-2008ГОСТ Р ИСО/ТО 8550-2-2008ГОСТ Р ИСО/ТО 8550-2-2008ГОСТ Р ИСО/ТО 8550-2-2008
 




ГОСТЫ, СТРОИТЕЛЬНЫЕ и ТЕХНИЧЕСКИЕ НОРМАТИВЫ.
Некоммерческая онлайн система, содержащая все Российские Госты, национальные Стандарты и нормативы.
В Системе содержится более 150000 файлов нормативно-технической документации, действующей на территории РФ.
Система предназначена для широкого круга инженерно-технических специалистов.

Рейтинг@Mail.ru Яндекс цитирования

Copyright © www.gostrf.com, 2008 - 2026