Крупнейшая бесплатная информационно-справочная система онлайн доступа к полному собранию технических нормативно-правовых актов РФ. Огромная база технических нормативов (более 150 тысяч документов) и полное собрание национальных стандартов, аутентичное официальной базе Госстандарта. GOSTRF.com - это более 1 Терабайта бесплатной технической информации для всех пользователей интернета. Все электронные копии представленных здесь документов могут распространяться без каких-либо ограничений. Поощряется распространение информации с этого сайта на любых других ресурсах. Каждый человек имеет право на неограниченный доступ к этим документам! Каждый человек имеет право на знание требований, изложенных в данных нормативно-правовых актах!

  


 

ГОСТ Р 52976-2008

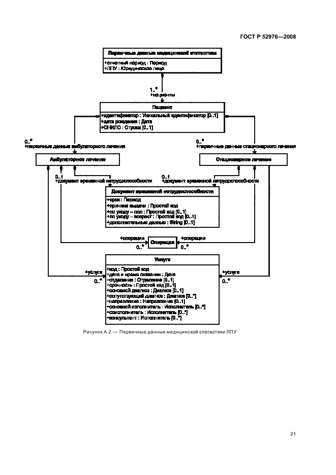
Информатизация здоровья. Состав первичных данных медицинской статистики лечебно-профилактического учреждения для электронного обмена этими данными. Общие требования

Обозначение:ГОСТ Р 52976-2008
Текущий статус документа: действующий
Название документа рус.:Информатизация здоровья. Состав первичных данных медицинской статистики лечебно-профилактического учреждения для электронного обмена этими данными. Общие требования
Название документа англ.:Health informatics. First database structure of medical statistics of medical entity for electronic exchange of these data. General requirements
Дата актуализации текста:01.12.2013
Дата издания:23.04.2009
Дата введения:30.04.2009
Дата последнего изменения:22.05.2013
Область применения:Настоящий стандарт устанавливает общие требования к составу данных медицинской статистики лечебно-профилактического учреждения для обеспечения электронного обмена этими данными при информационном взаимодействии автоматизированных информационных систем.
Настоящий стандарт распространяется на автоматизированные информационные системы, формирующие или использующие данные медицинской статистики лечебно-профилактического учреждения.
Понятие электронного обмена используется с целью распространения области применения стандарта только на данные медицинской статистики лечебно-профилактического учреждения, используемые для взаимодействия автоматизированных информационных систем
ГОСТ Р 52976-2008ГОСТ Р 52976-2008ГОСТ Р 52976-2008ГОСТ Р 52976-2008ГОСТ Р 52976-2008ГОСТ Р 52976-2008ГОСТ Р 52976-2008ГОСТ Р 52976-2008ГОСТ Р 52976-2008ГОСТ Р 52976-2008ГОСТ Р 52976-2008ГОСТ Р 52976-2008ГОСТ Р 52976-2008ГОСТ Р 52976-2008ГОСТ Р 52976-2008ГОСТ Р 52976-2008ГОСТ Р 52976-2008ГОСТ Р 52976-2008ГОСТ Р 52976-2008ГОСТ Р 52976-2008ГОСТ Р 52976-2008ГОСТ Р 52976-2008ГОСТ Р 52976-2008ГОСТ Р 52976-2008ГОСТ Р 52976-2008ГОСТ Р 52976-2008ГОСТ Р 52976-2008
 




ГОСТЫ, СТРОИТЕЛЬНЫЕ и ТЕХНИЧЕСКИЕ НОРМАТИВЫ.
Некоммерческая онлайн система, содержащая все Российские Госты, национальные Стандарты и нормативы.
В Системе содержится более 150000 файлов нормативно-технической документации, действующей на территории РФ.
Система предназначена для широкого круга инженерно-технических специалистов.

Рейтинг@Mail.ru Яндекс цитирования

Copyright © www.gostrf.com, 2008 - 2026