Крупнейшая бесплатная информационно-справочная система онлайн доступа к полному собранию технических нормативно-правовых актов РФ. Огромная база технических нормативов (более 150 тысяч документов) и полное собрание национальных стандартов, аутентичное официальной базе Госстандарта. GOSTRF.com - это более 1 Терабайта бесплатной технической информации для всех пользователей интернета. Все электронные копии представленных здесь документов могут распространяться без каких-либо ограничений. Поощряется распространение информации с этого сайта на любых других ресурсах. Каждый человек имеет право на неограниченный доступ к этим документам! Каждый человек имеет право на знание требований, изложенных в данных нормативно-правовых актах!

  


 

ГОСТ Р 53188.1-2008

Шумомеры. Часть 1. Технические требования

Обозначение:ГОСТ Р 53188.1-2008
Текущий статус документа: отменён
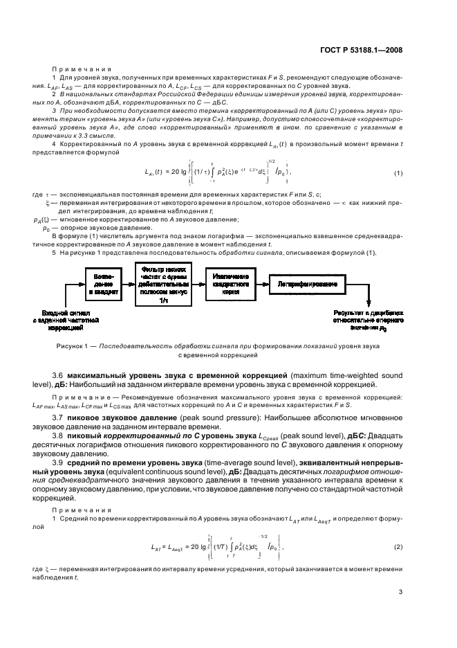
Название документа рус.:Шумомеры. Часть 1. Технические требования
Название документа англ.:Sound level meters. Part 1. Technical requirements
Дата актуализации текста:01.12.2013
Дата издания:07.04.2009
Дата введения:01.12.2009
Дата последнего изменения:22.05.2013
Дата окончания срока действия:01.11.2012
Область применения:Настоящий стандарт устанавливает требования к электроакустическим характеристикам для приборов трех видов, предназначенных для измерения звука:
- обычные шумомеры, которые измеряют уровень звука с экспоненциальной временной коррекцией;
- интегрирующие-усредняющие шумомеры, которые измеряют линейно усредненный по времени уровень звука;
- интегрирующие шумомеры, которые измеряют уровень звукового воздействия.
Настоящий стандарт устанавливает требования к шумомерам 1-го и 2-го класса. Шумомеры 1-го и 2-го классов имеют одни и те же номинальные значения характеристик и отличаются допустимыми отклонениями этих характеристик и рабочим диапазоном температур. Предельные отклонения характеристик для шумомеров 2-го класса больше или равны предельным отклонениям для шумомеров 1-го класса.
Стандарт распространяется на шумомеры различных конструкций. Шумомер может быть отдельным ручным прибором с присоединенным микрофоном и встроенным устройством отображения. Шумомер может состоять из отдельных частей в одном или более корпусах и отображать заданный набор уровней акустического сигнала. Шумомер может выполнять сложную аналоговую или цифровую обработку сигналов, каждого по отдельности или совместно, со многими аналоговыми или цифровыми выходами. В состав шумомеров могут входить компьютеры общего назначения, устройства регистрации, печатающие и другие устройства, составляющие неотъемлемую часть укомплектованного прибора
Список изменений:№0 от 01.11.2012 (рег. 15.12.2011) «Текстовое изменение; Изменено заглавие»
ГОСТ Р 53188.1-2008ГОСТ Р 53188.1-2008ГОСТ Р 53188.1-2008ГОСТ Р 53188.1-2008ГОСТ Р 53188.1-2008ГОСТ Р 53188.1-2008ГОСТ Р 53188.1-2008ГОСТ Р 53188.1-2008ГОСТ Р 53188.1-2008ГОСТ Р 53188.1-2008ГОСТ Р 53188.1-2008ГОСТ Р 53188.1-2008ГОСТ Р 53188.1-2008ГОСТ Р 53188.1-2008ГОСТ Р 53188.1-2008ГОСТ Р 53188.1-2008ГОСТ Р 53188.1-2008ГОСТ Р 53188.1-2008ГОСТ Р 53188.1-2008ГОСТ Р 53188.1-2008ГОСТ Р 53188.1-2008ГОСТ Р 53188.1-2008ГОСТ Р 53188.1-2008ГОСТ Р 53188.1-2008ГОСТ Р 53188.1-2008ГОСТ Р 53188.1-2008ГОСТ Р 53188.1-2008ГОСТ Р 53188.1-2008ГОСТ Р 53188.1-2008ГОСТ Р 53188.1-2008ГОСТ Р 53188.1-2008ГОСТ Р 53188.1-2008ГОСТ Р 53188.1-2008ГОСТ Р 53188.1-2008ГОСТ Р 53188.1-2008ГОСТ Р 53188.1-2008
 




ГОСТЫ, СТРОИТЕЛЬНЫЕ и ТЕХНИЧЕСКИЕ НОРМАТИВЫ.
Некоммерческая онлайн система, содержащая все Российские Госты, национальные Стандарты и нормативы.
В Системе содержится более 150000 файлов нормативно-технической документации, действующей на территории РФ.
Система предназначена для широкого круга инженерно-технических специалистов.

Рейтинг@Mail.ru Яндекс цитирования

Copyright © www.gostrf.com, 2008 - 2026