Крупнейшая бесплатная информационно-справочная система онлайн доступа к полному собранию технических нормативно-правовых актов РФ. Огромная база технических нормативов (более 150 тысяч документов) и полное собрание национальных стандартов, аутентичное официальной базе Госстандарта. GOSTRF.com - это более 1 Терабайта бесплатной технической информации для всех пользователей интернета. Все электронные копии представленных здесь документов могут распространяться без каких-либо ограничений. Поощряется распространение информации с этого сайта на любых других ресурсах. Каждый человек имеет право на неограниченный доступ к этим документам! Каждый человек имеет право на знание требований, изложенных в данных нормативно-правовых актах!

  


 

ГОСТ Р МЭК 62209-1-2008

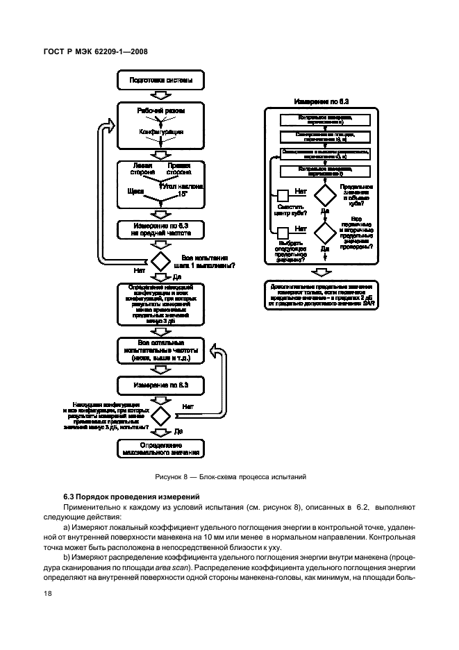
Воздействие на человека радиочастотных полей от ручных и располагаемых на теле беспроводных устройств связи. Модели человека, измерительные приборы и процедуры. Часть 1. Порядок определения коэффициента удельного поглощения энергии для ручных устройств, используемых в непосредственной близости к уху (полоса частот от 300 МГц до 3 ГГц)

Обозначение:ГОСТ Р МЭК 62209-1-2008
Текущий статус документа: действующий
Название документа рус.:Воздействие на человека радиочастотных полей от ручных и располагаемых на теле беспроводных устройств связи. Модели человека, измерительные приборы и процедуры. Часть 1. Порядок определения коэффициента удельного поглощения энергии для ручных устройств, используемых в непосредственной близости к уху (полоса частот от 300 МГц до 3 ГГц)
Название документа англ.:Human exposure to radio frequency fields from hand-held and body-mounted wireless communication devices. Human models, instrumentation and procedures. Part 1. Procedure to determine the specific absorption rate (SAR) for hand-held devices used in close proximity to the ear (frequency range of 300 MHz to 3 GHz)
Дата актуализации текста:01.12.2013
Дата издания:13.07.2009
Дата введения:01.07.2009
Дата последнего изменения:22.05.2013
Область применения:Настоящий стандарт распространяется на все создающие электромагнитное поле устройства, включая мобильные телефоны, радиотелефоны и т.д., использование которых предполагает нахождение их излучающей части в непосредственной близости к голове возле уха в полосе в полосе частот от 300 МГц до 3 ГГц.
Настоящий стандарт устанавливает методы измерений, проводимых для демонстрации соответствия таких устройств установленным для них нормам коэффициента удельного поглощения (SAR)
ГОСТ Р МЭК 62209-1-2008ГОСТ Р МЭК 62209-1-2008ГОСТ Р МЭК 62209-1-2008ГОСТ Р МЭК 62209-1-2008ГОСТ Р МЭК 62209-1-2008ГОСТ Р МЭК 62209-1-2008ГОСТ Р МЭК 62209-1-2008ГОСТ Р МЭК 62209-1-2008ГОСТ Р МЭК 62209-1-2008ГОСТ Р МЭК 62209-1-2008ГОСТ Р МЭК 62209-1-2008ГОСТ Р МЭК 62209-1-2008ГОСТ Р МЭК 62209-1-2008ГОСТ Р МЭК 62209-1-2008ГОСТ Р МЭК 62209-1-2008ГОСТ Р МЭК 62209-1-2008ГОСТ Р МЭК 62209-1-2008ГОСТ Р МЭК 62209-1-2008ГОСТ Р МЭК 62209-1-2008ГОСТ Р МЭК 62209-1-2008ГОСТ Р МЭК 62209-1-2008ГОСТ Р МЭК 62209-1-2008ГОСТ Р МЭК 62209-1-2008ГОСТ Р МЭК 62209-1-2008ГОСТ Р МЭК 62209-1-2008ГОСТ Р МЭК 62209-1-2008ГОСТ Р МЭК 62209-1-2008ГОСТ Р МЭК 62209-1-2008ГОСТ Р МЭК 62209-1-2008ГОСТ Р МЭК 62209-1-2008ГОСТ Р МЭК 62209-1-2008ГОСТ Р МЭК 62209-1-2008ГОСТ Р МЭК 62209-1-2008ГОСТ Р МЭК 62209-1-2008ГОСТ Р МЭК 62209-1-2008ГОСТ Р МЭК 62209-1-2008ГОСТ Р МЭК 62209-1-2008ГОСТ Р МЭК 62209-1-2008ГОСТ Р МЭК 62209-1-2008ГОСТ Р МЭК 62209-1-2008ГОСТ Р МЭК 62209-1-2008ГОСТ Р МЭК 62209-1-2008ГОСТ Р МЭК 62209-1-2008ГОСТ Р МЭК 62209-1-2008ГОСТ Р МЭК 62209-1-2008ГОСТ Р МЭК 62209-1-2008ГОСТ Р МЭК 62209-1-2008ГОСТ Р МЭК 62209-1-2008ГОСТ Р МЭК 62209-1-2008ГОСТ Р МЭК 62209-1-2008ГОСТ Р МЭК 62209-1-2008ГОСТ Р МЭК 62209-1-2008ГОСТ Р МЭК 62209-1-2008ГОСТ Р МЭК 62209-1-2008ГОСТ Р МЭК 62209-1-2008ГОСТ Р МЭК 62209-1-2008ГОСТ Р МЭК 62209-1-2008ГОСТ Р МЭК 62209-1-2008ГОСТ Р МЭК 62209-1-2008ГОСТ Р МЭК 62209-1-2008ГОСТ Р МЭК 62209-1-2008ГОСТ Р МЭК 62209-1-2008ГОСТ Р МЭК 62209-1-2008ГОСТ Р МЭК 62209-1-2008ГОСТ Р МЭК 62209-1-2008ГОСТ Р МЭК 62209-1-2008ГОСТ Р МЭК 62209-1-2008ГОСТ Р МЭК 62209-1-2008ГОСТ Р МЭК 62209-1-2008ГОСТ Р МЭК 62209-1-2008ГОСТ Р МЭК 62209-1-2008ГОСТ Р МЭК 62209-1-2008ГОСТ Р МЭК 62209-1-2008ГОСТ Р МЭК 62209-1-2008ГОСТ Р МЭК 62209-1-2008ГОСТ Р МЭК 62209-1-2008ГОСТ Р МЭК 62209-1-2008ГОСТ Р МЭК 62209-1-2008ГОСТ Р МЭК 62209-1-2008ГОСТ Р МЭК 62209-1-2008ГОСТ Р МЭК 62209-1-2008ГОСТ Р МЭК 62209-1-2008ГОСТ Р МЭК 62209-1-2008ГОСТ Р МЭК 62209-1-2008ГОСТ Р МЭК 62209-1-2008ГОСТ Р МЭК 62209-1-2008ГОСТ Р МЭК 62209-1-2008ГОСТ Р МЭК 62209-1-2008ГОСТ Р МЭК 62209-1-2008
 




ГОСТЫ, СТРОИТЕЛЬНЫЕ и ТЕХНИЧЕСКИЕ НОРМАТИВЫ.
Некоммерческая онлайн система, содержащая все Российские Госты, национальные Стандарты и нормативы.
В Системе содержится более 150000 файлов нормативно-технической документации, действующей на территории РФ.
Система предназначена для широкого круга инженерно-технических специалистов.

Рейтинг@Mail.ru Яндекс цитирования

Copyright © www.gostrf.com, 2008 - 2026