Крупнейшая бесплатная информационно-справочная система онлайн доступа к полному собранию технических нормативно-правовых актов РФ. Огромная база технических нормативов (более 150 тысяч документов) и полное собрание национальных стандартов, аутентичное официальной базе Госстандарта. GOSTRF.com - это более 1 Терабайта бесплатной технической информации для всех пользователей интернета. Все электронные копии представленных здесь документов могут распространяться без каких-либо ограничений. Поощряется распространение информации с этого сайта на любых других ресурсах. Каждый человек имеет право на неограниченный доступ к этим документам! Каждый человек имеет право на знание требований, изложенных в данных нормативно-правовых актах!

  


 

ГОСТ Р 53214-2008

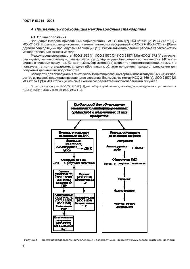
Продукты пищевые. Методы анализа для обнаружения генетически модифицированных организмов и полученных из них продуктов. Общие требования и определения

Обозначение:ГОСТ Р 53214-2008
Текущий статус документа: действующий
Название документа рус.:Продукты пищевые. Методы анализа для обнаружения генетически модифицированных организмов и полученных из них продуктов. Общие требования и определения
Название документа англ.:Foodstuffs. Methods of analysis for the detection of genetically modified organisms and derived products. General requirements and definitions
Дата актуализации текста:01.12.2013
Дата издания:27.07.2009
Дата введения:01.01.2010
Дата последнего изменения:22.05.2013
Область применения:Настоящий стандарт содержит общие термины и определения, требования и руководящие указания для организации лабораторий, требования к методу подтверждения достоверности, описание методов и протоколов испытаний.
Настоящий стандарт распространяется на пищевые продукты, а также семена, корма и растительные образцы, отобранные из окружающей среды
ГОСТ Р 53214-2008ГОСТ Р 53214-2008ГОСТ Р 53214-2008ГОСТ Р 53214-2008ГОСТ Р 53214-2008ГОСТ Р 53214-2008ГОСТ Р 53214-2008ГОСТ Р 53214-2008ГОСТ Р 53214-2008ГОСТ Р 53214-2008ГОСТ Р 53214-2008ГОСТ Р 53214-2008ГОСТ Р 53214-2008ГОСТ Р 53214-2008ГОСТ Р 53214-2008ГОСТ Р 53214-2008ГОСТ Р 53214-2008ГОСТ Р 53214-2008ГОСТ Р 53214-2008
 




ГОСТЫ, СТРОИТЕЛЬНЫЕ и ТЕХНИЧЕСКИЕ НОРМАТИВЫ.
Некоммерческая онлайн система, содержащая все Российские Госты, национальные Стандарты и нормативы.
В Системе содержится более 150000 файлов нормативно-технической документации, действующей на территории РФ.
Система предназначена для широкого круга инженерно-технических специалистов.

Рейтинг@Mail.ru Яндекс цитирования

Copyright © www.gostrf.com, 2008 - 2026