Крупнейшая бесплатная информационно-справочная система онлайн доступа к полному собранию технических нормативно-правовых актов РФ. Огромная база технических нормативов (более 150 тысяч документов) и полное собрание национальных стандартов, аутентичное официальной базе Госстандарта. GOSTRF.com - это более 1 Терабайта бесплатной технической информации для всех пользователей интернета. Все электронные копии представленных здесь документов могут распространяться без каких-либо ограничений. Поощряется распространение информации с этого сайта на любых других ресурсах. Каждый человек имеет право на неограниченный доступ к этим документам! Каждый человек имеет право на знание требований, изложенных в данных нормативно-правовых актах!

  


 

ГОСТ Р ИСО/МЭК 16022-2008

Автоматическая идентификация. Кодирование штриховое. Спецификация символики Data Matrix

Обозначение:ГОСТ Р ИСО/МЭК 16022-2008
Текущий статус документа: действующий
Название документа рус.:Автоматическая идентификация. Кодирование штриховое. Спецификация символики Data Matrix
Название документа англ.:Automatic identification. Bar coding. Data Matrix symbology specification
Дата актуализации текста:01.12.2013
Дата издания:26.08.2009
Дата введения:01.01.2010
Дата последнего изменения:22.05.2013
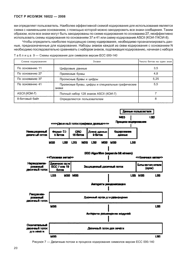
Область применения:Настоящий стандарт устанавливает требования к символике Data Matrix, а также параметры символики, кодирование знаков данных, форматы символов, требования к размерам и качеству печати, правила исправления ошибок, алгоритм декодирования и прикладные параметры, выбираемые пользователем.
Настоящий стандарт распространяется на все символы символики Data Matrix, напечатанные или нанесенные каким-либо другим способом
Список изменений:№1 от 01.01.2014 (рег. 26.09.2013) «Срок действия продлен»
ГОСТ Р ИСО/МЭК 16022-2008ГОСТ Р ИСО/МЭК 16022-2008ГОСТ Р ИСО/МЭК 16022-2008ГОСТ Р ИСО/МЭК 16022-2008ГОСТ Р ИСО/МЭК 16022-2008ГОСТ Р ИСО/МЭК 16022-2008ГОСТ Р ИСО/МЭК 16022-2008ГОСТ Р ИСО/МЭК 16022-2008ГОСТ Р ИСО/МЭК 16022-2008ГОСТ Р ИСО/МЭК 16022-2008ГОСТ Р ИСО/МЭК 16022-2008ГОСТ Р ИСО/МЭК 16022-2008ГОСТ Р ИСО/МЭК 16022-2008ГОСТ Р ИСО/МЭК 16022-2008ГОСТ Р ИСО/МЭК 16022-2008ГОСТ Р ИСО/МЭК 16022-2008ГОСТ Р ИСО/МЭК 16022-2008ГОСТ Р ИСО/МЭК 16022-2008ГОСТ Р ИСО/МЭК 16022-2008ГОСТ Р ИСО/МЭК 16022-2008ГОСТ Р ИСО/МЭК 16022-2008ГОСТ Р ИСО/МЭК 16022-2008ГОСТ Р ИСО/МЭК 16022-2008ГОСТ Р ИСО/МЭК 16022-2008ГОСТ Р ИСО/МЭК 16022-2008ГОСТ Р ИСО/МЭК 16022-2008ГОСТ Р ИСО/МЭК 16022-2008ГОСТ Р ИСО/МЭК 16022-2008ГОСТ Р ИСО/МЭК 16022-2008ГОСТ Р ИСО/МЭК 16022-2008ГОСТ Р ИСО/МЭК 16022-2008ГОСТ Р ИСО/МЭК 16022-2008ГОСТ Р ИСО/МЭК 16022-2008ГОСТ Р ИСО/МЭК 16022-2008ГОСТ Р ИСО/МЭК 16022-2008ГОСТ Р ИСО/МЭК 16022-2008ГОСТ Р ИСО/МЭК 16022-2008ГОСТ Р ИСО/МЭК 16022-2008ГОСТ Р ИСО/МЭК 16022-2008ГОСТ Р ИСО/МЭК 16022-2008ГОСТ Р ИСО/МЭК 16022-2008ГОСТ Р ИСО/МЭК 16022-2008ГОСТ Р ИСО/МЭК 16022-2008ГОСТ Р ИСО/МЭК 16022-2008ГОСТ Р ИСО/МЭК 16022-2008ГОСТ Р ИСО/МЭК 16022-2008ГОСТ Р ИСО/МЭК 16022-2008ГОСТ Р ИСО/МЭК 16022-2008ГОСТ Р ИСО/МЭК 16022-2008ГОСТ Р ИСО/МЭК 16022-2008ГОСТ Р ИСО/МЭК 16022-2008ГОСТ Р ИСО/МЭК 16022-2008ГОСТ Р ИСО/МЭК 16022-2008ГОСТ Р ИСО/МЭК 16022-2008ГОСТ Р ИСО/МЭК 16022-2008ГОСТ Р ИСО/МЭК 16022-2008ГОСТ Р ИСО/МЭК 16022-2008ГОСТ Р ИСО/МЭК 16022-2008ГОСТ Р ИСО/МЭК 16022-2008ГОСТ Р ИСО/МЭК 16022-2008ГОСТ Р ИСО/МЭК 16022-2008ГОСТ Р ИСО/МЭК 16022-2008ГОСТ Р ИСО/МЭК 16022-2008ГОСТ Р ИСО/МЭК 16022-2008ГОСТ Р ИСО/МЭК 16022-2008ГОСТ Р ИСО/МЭК 16022-2008ГОСТ Р ИСО/МЭК 16022-2008ГОСТ Р ИСО/МЭК 16022-2008ГОСТ Р ИСО/МЭК 16022-2008ГОСТ Р ИСО/МЭК 16022-2008ГОСТ Р ИСО/МЭК 16022-2008ГОСТ Р ИСО/МЭК 16022-2008ГОСТ Р ИСО/МЭК 16022-2008ГОСТ Р ИСО/МЭК 16022-2008ГОСТ Р ИСО/МЭК 16022-2008ГОСТ Р ИСО/МЭК 16022-2008ГОСТ Р ИСО/МЭК 16022-2008ГОСТ Р ИСО/МЭК 16022-2008ГОСТ Р ИСО/МЭК 16022-2008ГОСТ Р ИСО/МЭК 16022-2008ГОСТ Р ИСО/МЭК 16022-2008ГОСТ Р ИСО/МЭК 16022-2008ГОСТ Р ИСО/МЭК 16022-2008ГОСТ Р ИСО/МЭК 16022-2008ГОСТ Р ИСО/МЭК 16022-2008ГОСТ Р ИСО/МЭК 16022-2008ГОСТ Р ИСО/МЭК 16022-2008ГОСТ Р ИСО/МЭК 16022-2008ГОСТ Р ИСО/МЭК 16022-2008ГОСТ Р ИСО/МЭК 16022-2008ГОСТ Р ИСО/МЭК 16022-2008ГОСТ Р ИСО/МЭК 16022-2008ГОСТ Р ИСО/МЭК 16022-2008ГОСТ Р ИСО/МЭК 16022-2008ГОСТ Р ИСО/МЭК 16022-2008ГОСТ Р ИСО/МЭК 16022-2008ГОСТ Р ИСО/МЭК 16022-2008ГОСТ Р ИСО/МЭК 16022-2008ГОСТ Р ИСО/МЭК 16022-2008ГОСТ Р ИСО/МЭК 16022-2008ГОСТ Р ИСО/МЭК 16022-2008ГОСТ Р ИСО/МЭК 16022-2008ГОСТ Р ИСО/МЭК 16022-2008ГОСТ Р ИСО/МЭК 16022-2008ГОСТ Р ИСО/МЭК 16022-2008ГОСТ Р ИСО/МЭК 16022-2008ГОСТ Р ИСО/МЭК 16022-2008ГОСТ Р ИСО/МЭК 16022-2008ГОСТ Р ИСО/МЭК 16022-2008ГОСТ Р ИСО/МЭК 16022-2008ГОСТ Р ИСО/МЭК 16022-2008ГОСТ Р ИСО/МЭК 16022-2008ГОСТ Р ИСО/МЭК 16022-2008ГОСТ Р ИСО/МЭК 16022-2008ГОСТ Р ИСО/МЭК 16022-2008ГОСТ Р ИСО/МЭК 16022-2008ГОСТ Р ИСО/МЭК 16022-2008ГОСТ Р ИСО/МЭК 16022-2008ГОСТ Р ИСО/МЭК 16022-2008ГОСТ Р ИСО/МЭК 16022-2008ГОСТ Р ИСО/МЭК 16022-2008ГОСТ Р ИСО/МЭК 16022-2008ГОСТ Р ИСО/МЭК 16022-2008ГОСТ Р ИСО/МЭК 16022-2008ГОСТ Р ИСО/МЭК 16022-2008ГОСТ Р ИСО/МЭК 16022-2008ГОСТ Р ИСО/МЭК 16022-2008ГОСТ Р ИСО/МЭК 16022-2008ГОСТ Р ИСО/МЭК 16022-2008ГОСТ Р ИСО/МЭК 16022-2008
 




ГОСТЫ, СТРОИТЕЛЬНЫЕ и ТЕХНИЧЕСКИЕ НОРМАТИВЫ.
Некоммерческая онлайн система, содержащая все Российские Госты, национальные Стандарты и нормативы.
В Системе содержится более 150000 файлов нормативно-технической документации, действующей на территории РФ.
Система предназначена для широкого круга инженерно-технических специалистов.

Рейтинг@Mail.ru Яндекс цитирования

Copyright © www.gostrf.com, 2008 - 2026