Крупнейшая бесплатная информационно-справочная система онлайн доступа к полному собранию технических нормативно-правовых актов РФ. Огромная база технических нормативов (более 150 тысяч документов) и полное собрание национальных стандартов, аутентичное официальной базе Госстандарта. GOSTRF.com - это более 1 Терабайта бесплатной технической информации для всех пользователей интернета. Все электронные копии представленных здесь документов могут распространяться без каких-либо ограничений. Поощряется распространение информации с этого сайта на любых других ресурсах. Каждый человек имеет право на неограниченный доступ к этим документам! Каждый человек имеет право на знание требований, изложенных в данных нормативно-правовых актах!

  


 

ГОСТ Р 53127-2008

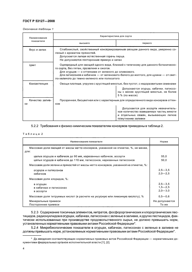
Консервы. Огурцы, кабачки, патиссоны с зеленью в заливке. Технические условия

Обозначение:ГОСТ Р 53127-2008
Текущий статус документа: действующий
Название документа рус.:Консервы. Огурцы, кабачки, патиссоны с зеленью в заливке. Технические условия
Название документа англ.:Canned food. Cucumbers, vegetable marrows, bush pumpkins with greens in brine. General specifications
Дата актуализации текста:01.12.2013
Дата издания:10.08.2009
Дата введения:01.01.2010
Дата последнего изменения:15.07.2013
Дата окончания срока действия:15.02.2015
Область применения:Настоящий стандарт распространяется на консервы из свежих огурцов, кабачков, патиссонов или их смеси с добавлением зелени, пряностей, залитых раствором уксусной и/или лимонной кислоты и поваренной соли
Список изменений:№0 от 15.02.2015 (рег. 29.11.2012) «Текстовое изменение; Изменено заглавие»
ГОСТ Р 53127-2008ГОСТ Р 53127-2008ГОСТ Р 53127-2008ГОСТ Р 53127-2008ГОСТ Р 53127-2008ГОСТ Р 53127-2008ГОСТ Р 53127-2008ГОСТ Р 53127-2008ГОСТ Р 53127-2008ГОСТ Р 53127-2008ГОСТ Р 53127-2008ГОСТ Р 53127-2008ГОСТ Р 53127-2008ГОСТ Р 53127-2008ГОСТ Р 53127-2008
 




ГОСТЫ, СТРОИТЕЛЬНЫЕ и ТЕХНИЧЕСКИЕ НОРМАТИВЫ.
Некоммерческая онлайн система, содержащая все Российские Госты, национальные Стандарты и нормативы.
В Системе содержится более 150000 файлов нормативно-технической документации, действующей на территории РФ.
Система предназначена для широкого круга инженерно-технических специалистов.

Рейтинг@Mail.ru Яндекс цитирования

Copyright © www.gostrf.com, 2008 - 2026