Крупнейшая бесплатная информационно-справочная система онлайн доступа к полному собранию технических нормативно-правовых актов РФ. Огромная база технических нормативов (более 150 тысяч документов) и полное собрание национальных стандартов, аутентичное официальной базе Госстандарта. GOSTRF.com - это более 1 Терабайта бесплатной технической информации для всех пользователей интернета. Все электронные копии представленных здесь документов могут распространяться без каких-либо ограничений. Поощряется распространение информации с этого сайта на любых других ресурсах. Каждый человек имеет право на неограниченный доступ к этим документам! Каждый человек имеет право на знание требований, изложенных в данных нормативно-правовых актах!

  


 

ГОСТ Р 53117-2008

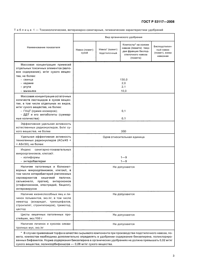
Удобрения органические на основе отходов животноводства. Технические условия

Обозначение:ГОСТ Р 53117-2008
Текущий статус документа: действующий
Название документа рус.:Удобрения органические на основе отходов животноводства. Технические условия
Название документа англ.:Organic fertilizers on basis of waste of stock-raising. Specifications
Дата актуализации текста:01.12.2013
Дата издания:07.08.2009
Дата введения:01.01.2010
Дата последнего изменения:15.07.2013
Область применения:Настоящий стандарт распространяется на органические удобрения, производимые на основе органических отходов животного происхождения (например, навоз, помет) с использованием, либо без применения влагопоглощающих материалов растительного происхождения (например, торф, солома, опилки, кора, стружка и пр.).
Настоящий стандарт не распространяется на эффлюент - анаэробно переработанные органические удобрения
ГОСТ Р 53117-2008ГОСТ Р 53117-2008ГОСТ Р 53117-2008ГОСТ Р 53117-2008ГОСТ Р 53117-2008ГОСТ Р 53117-2008ГОСТ Р 53117-2008ГОСТ Р 53117-2008ГОСТ Р 53117-2008ГОСТ Р 53117-2008ГОСТ Р 53117-2008ГОСТ Р 53117-2008ГОСТ Р 53117-2008ГОСТ Р 53117-2008ГОСТ Р 53117-2008
 




ГОСТЫ, СТРОИТЕЛЬНЫЕ и ТЕХНИЧЕСКИЕ НОРМАТИВЫ.
Некоммерческая онлайн система, содержащая все Российские Госты, национальные Стандарты и нормативы.
В Системе содержится более 150000 файлов нормативно-технической документации, действующей на территории РФ.
Система предназначена для широкого круга инженерно-технических специалистов.

Рейтинг@Mail.ru Яндекс цитирования

Copyright © www.gostrf.com, 2008 - 2026